题目内容
(1)以CD所在的平面为重力势能的参考面,小物体滑到圆弧轨道A点时的机械能是多少?
(2)释放小球前,弹簧的弹性势能Ep;
(3)斜面高h.
【答案】分析:(1)根据重力势能的公式Ep=mgh求出小物体在圆弧轨道A点的重力势能,在A点的动能为0,机械能等于动能加上重力势能.
(2)该题中a、b物体在被推开过程中,动量守恒,mva=2mvb,A物体的动能可以通过机械能守恒
求得,通过A、B速度的关系可以求出B物体的动能,最后根据能量守恒定律
求出弹簧的弹性势能.
(3)对B物体运用能量守恒,动能的减小量等于重力势能的增加量和摩擦产生的内能.即
cosα
.
解答:解:(1)以水平轨道CD为参考面,小物体a滑到圆弧最高点A时的机械能为Ea=mgR①
(2)设a、b被弹开后瞬间的速度分别为νa和νb,同时释放两个小物体的过程中,两个小物体组成的系统动量守恒,有:
mva=2mvb ②
小物体a恰好到达圆弧最高点A,根据机械能守恒,有:
③
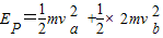
释放两个小物体的过程中,弹簧和两个小物体组成的系统机械能守恒,有:
④
联立②③④式并解得
⑤
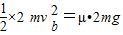
(3)小物体b恰好到达粗糙斜面的最高点B,根据能量守恒,有:
cosα
⑥
联立②③⑥式并解得斜面的高度为
⑦
点评:此题主要考查动量守恒定律,机械能守恒定律,能量守恒定律的灵活应用.
(2)该题中a、b物体在被推开过程中,动量守恒,mva=2mvb,A物体的动能可以通过机械能守恒
(3)对B物体运用能量守恒,动能的减小量等于重力势能的增加量和摩擦产生的内能.即
解答:解:(1)以水平轨道CD为参考面,小物体a滑到圆弧最高点A时的机械能为Ea=mgR①
(2)设a、b被弹开后瞬间的速度分别为νa和νb,同时释放两个小物体的过程中,两个小物体组成的系统动量守恒,有:
mva=2mvb ②
小物体a恰好到达圆弧最高点A,根据机械能守恒,有:
释放两个小物体的过程中,弹簧和两个小物体组成的系统机械能守恒,有:
联立②③④式并解得
(3)小物体b恰好到达粗糙斜面的最高点B,根据能量守恒,有:
联立②③⑥式并解得斜面的高度为
点评:此题主要考查动量守恒定律,机械能守恒定律,能量守恒定律的灵活应用.
练习册系列答案
相关题目