题目内容
(12分)如图所示,绝缘水平面上静止着两个质量均为m、电量均为+Q的物体A和B(A、B均可视为质点),它们间的距离为r,与水平面间的动摩擦因数均为μ.求:
![]()
(1)A受到的摩擦力.
(2)如果将A的电量增至+4Q,则两物体将开始运动,当它们的加速度第一次为零时,A、B各运动了多远的距离?
【答案】
(1)
(2)![]()
【解析】
试题分析:(1)因为物体均处于静止状态,由平衡条件可知A受到的摩擦力:
4分
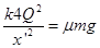
(2)设A、B间距离为r′,当加速度a=0时,![]()
得到:
4分
由题可知A、B运动距离为:
,
故
4分
考点:两个物体相互排斥,静止时结合平衡方程解答;增加电量后,物体开始运动的过程中,库仑力减小,滑动摩擦力不变,当加速度为零时滑动摩擦力等于库仑力.
练习册系列答案
相关题目
A、此过程中产生的热能为
| ||||
B、滑块在运动过程的中间时刻,速度大小等于
| ||||
| C、滑块在运动过程中所受的库仑力一定小于滑动摩擦力 | ||||
D、Q产生的电场中,a、b两点间的电势差为Uab=
|