题目内容

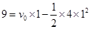
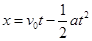
一个物体从光滑斜面底部以一定的初速度冲上去后做匀变速运动。已知物体在第1秒内的位移为9.0 m,在第3秒内的位移为1.0 m.求:(1)物体运动的初速度;(2)物体运动的加速度;(3)物体在斜面上运动的总路程。

 

【答案】

(1);(2);(3)

【解析】

试题分析:物体做匀变速运动,根据, 有,得

根据位移公式,有

考点:匀变速直线运动规律应用

 

练习册系列答案
相关题目

违法和不良信息举报电话:027-86699610 举报邮箱:58377363@163.com

精英家教网