题目内容
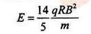
如图,一半径为R的圆表示一柱形区域的横截面(纸面)。在柱形区域内加一方向垂直于纸面的匀强磁场,一质量为m、电荷量为q的粒子沿图中直线在圆上的a点射入柱形区域,在圆上的b点离开该区域,离开时速度方向与直线垂直。圆心O到直线的距离为
。现将磁场换为平等于纸面且垂直于直线的匀强电场,同一粒子以同样速度沿直线在a点射入柱形区域,也在b点离开该区域。若磁感应强度大小为B,不计重力,求电场强度的大小。![]()
练习册系列答案
相关题目
| 1 |
| 2 |
A、v=
| ||||
B、v=
| ||||
C、v=
| ||||
D、v=
|