题目内容

总质量为M的列车,沿水平直线轨道匀速前进,其末节车厢质量为m,中途脱节,司机发觉时,机车已行驶L的距离,于是立即关闭油门,除去牵引力,设运动的阻力与重力成正比,机车的牵引力是恒定的,求列车完全停下时,列车两部分间的距离是多少?

答案:略
解析:

列车在脱钩前做匀速运动,其牵引力F=kmg,脱钩后,尾部车厢在阻力作用下做匀减速运动,前部机车在关闭油门前做加速运动,在关闭油门后做减速运动,依据题意,可以作出如图所示运动的示意图.

以机车为研究对象,脱钩发现前受牵引力和阻力,发现后只受阻力,对其脱钩前后的全过程,根据动能定理有:

   ①

以末节车厢为研究对象,脱钩后只受阻力作用,根据动能定理有:

   ②

F=kmg       ③

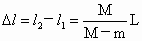
联立①②③可解得:


练习册系列答案
相关题目

违法和不良信息举报电话:027-86699610 举报邮箱:58377363@163.com

精英家教网