题目内容

如图所示,固定斜面倾角为θ,整个斜面分为AB、BC两段,且2AB=BC.小物块P(可视为质点)与AB、BC两段斜面之间的动摩擦因数分别为μ1、μ2.已知P由静止开始从A点释放,恰好能滑动到C点而停下,那么θ、μ1、μ2间应满足的关系是

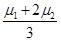
A.tanθ=

B.tanθ=

C.tanθ=2μ1-μ2

D.tanθ=2μ2-μ1

 

【答案】

A

【解析】

试题分析:设AB长度为s,全程根据动能定理,有:

解得:tanθ=

故选A

考点:本题考查对动能定理的应用,

点评:在应用动能定理的解题步骤是:进行受力分析、运动过程的分析、力的做功情况,确定初末状态,应用动能定理列公式求解,注意不要丢掉重力做功

 

练习册系列答案
相关题目

违法和不良信息举报电话:027-86699610 举报邮箱:58377363@163.com

精英家教网