题目内容
国庆60周年阅兵中,质量为m的歼10飞机受阅后返回某机场,降落在跑道上减速过程简化为两个匀减速直线运动.飞机以速度v着陆后立即打开减速阻力伞,加速度大小为a1,运动时间为t1;随后在无阻力伞情况下匀减速直至停下.在平直跑道上减速滑行总路程为s.求:第二个减速阶段飞机运动的加速度大小和时间.
【答案】分析:本题对两个匀减速直线运动过程分别用位移时间公式和速度公式,根据两个运动过程位移之和是s立方程即可求解.
解答:
解:如图,A为飞机着陆点,AB、BC分别为两个匀减速运动过程,C点停下.
A到B过程,依据运动学规律有
vB=v-a1t1
B到C过程,依据运动学规律有
0=vB-a2t2
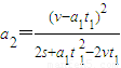
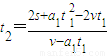
A到C过程,有:s=s1+s2
联立解得:
.
点评:本题考查的是匀变速直线运动过程中位移时间公式和速度公式的直接应用,难度适中,属于中档题.
解答:
A到B过程,依据运动学规律有
vB=v-a1t1
B到C过程,依据运动学规律有
0=vB-a2t2
A到C过程,有:s=s1+s2
联立解得:
点评:本题考查的是匀变速直线运动过程中位移时间公式和速度公式的直接应用,难度适中,属于中档题.
练习册系列答案
相关题目