题目内容

物体做匀变速直线运动,在运动时间一定的条件下,下列说法正确的是(       )

A.初速越大,位移越大

B.末速越大,位移越大

C.中间时刻速度越大,位移越大

D.中间位置速度越大,位移越大

 

【答案】

C

【解析】

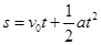
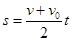
试题分析:根据可知位移与初速度与加速度有关,若初速度大而加速度小,位移可能也不大,A错误;根据可知,末速度大而初速度小可能位移也不大,B错误;由于,而,因此一定时间内,大时,大,位移一定大,C正确;而中间时刻的速度不等于平均速度,因此D错误

考点:平均速度

 

练习册系列答案
相关题目

违法和不良信息举报电话:027-86699610 举报邮箱:58377363@163.com

精英家教网