题目内容

如图,质量=2 kg的物体静止于水平地面的A处,A、B间距=20 m。用大小为30 N,沿水平方向的外力拉此物体,经=2 s拉至B处。(取g=10m/s2

(1)求物体与地面间的动摩擦因数μ;

(2)用大小为N,与水平方向成45°的力斜向上拉此物体,使物体从A处由静止开始运动并能到达B处,求该力作用的最短时间

 

【答案】

 

【解析】(1);(2)

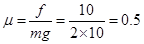
试题分析:(1)物体做匀加加速运动    (1分)

所以      (1分)

由牛顿第二定律   (1分)

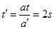
所以   (1分)

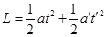
(2)设F作用的最短时间为,小车先以大小为a的加速度匀加速t秒,撤去外力后,以大小为的加速度匀减速秒到达B处,速度恰为0,由牛顿定律

   (1分)

所以

    (1分)

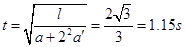
由于匀加速阶段的末速度即为匀减速阶段的初速度,因此有  (1分)

所以    (1分)

   (1分)

所以  (1分)

考点:匀变速直线运动,牛顿第二定律

 

练习册系列答案
相关题目

违法和不良信息举报电话:027-86699610 举报邮箱:58377363@163.com

精英家教网