题目内容
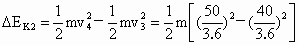
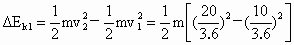
一辆汽车的速度从10km/h加快到20km/h,动能的增量为
;若速度从40km/h增加到50km/h,动能的增量为
,则
[ ]
A.
=
B.
<
C.
>
D.无法判断
答案:B
解析:
解析:
|
要注意物体速度大小变化相同时,物体的动能大小变化是不同的. |
练习册系列答案
相关题目
题目内容
一辆汽车的速度从10km/h加快到20km/h,动能的增量为
;若速度从40km/h增加到50km/h,动能的增量为
,则
[ ]
|
要注意物体速度大小变化相同时,物体的动能大小变化是不同的. |