ÌâÄ¿ÄÚÈÝ
ÓԱÔÚÔÂÇò±íÃæÍê³ÉÏÂÃæµÄʵÑ飺ÔÚÒ»¹Ì¶¨µÄÊúÖ±¹â»¬Ô²¹ìµÀÄÚ²¿ÓÐÒ»ÖÊÁ¿ÎªmµÄСÇò£¨¿ÉÊÓΪÖʵ㣩£¬ÈçͼËùʾ£®µ±ÔÚ×î¸ßµã¸øÐ¡Çòһ˲¼äµÄËÙ¶Èvʱ£¬¸ÕºÃÄÜʹСÇòÔÚÊúÖ±Æ½ÃæÄÚ×öÍêÕûµÄÔ²ÖÜÔ˶¯£¬ÒÑÖªÔ²»¡µÄ¹ìµÀ°ë¾¶Îªr£¬ÔÂÇòµÄ°ë¾¶ÎªR£¬ÒýÁ¦³£Á¿ÎªG£®Ç󣺣¨1£©ÈôÔÚÔÂÇò±íÃæÉÏ·¢ÉäÒ»¿Å»·ÔÂÎÀÐÇ£¬ËùÐè×îС·¢ÉäËÙ¶ÈΪ¶à´ó£¿
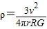
£¨2£©ÔÂÇòµÄƽ¾ùÃܶÈΪ¶à´ó£¿
£¨3£©¹ìµÀ°ë¾¶Îª2RµÄ»·ÔÂÎÀÐÇÖÜÆÚΪ¶à´ó£¿
¡¾´ð°¸¡¿·ÖÎö£º£¨1£©ÓÉ×îС·¢ÉäËÙ¶ÈÓ¦ÊÇÍòÓÐÒýÁ¦µÈÓÚÖØÁ¦£¬¶øÖØÁ¦Óֳ䵱ÏòÐÄÁ¦Ê±µÄÔ²ÖÜÔ˶¯ËÙ¶È£¬ÓÉ´Ë¿ÉÒÔ½âµÃ×îС·¢ÉäËÙ¶È£®
£¨2£©ÓÉÍòÓÐÒýÁ¦µÈÓÚÖØÁ¦½â³öÖÊÁ¿£¬È»ºóÓÖÃܶȵÈÓÚÖÊÁ¿³ýÒÔÌå»ý¿ÉÒԵõ½Ãܶȣ®
£¨3£©ÓÉÍòÓÐÒýÁ¦³äµ±ÏòÐÄÁ¦µÄÖÜÆÚ±í´ïʽ£¬¿ÉÒԵõ½ÖÜÆÚ£®
½â´ð£º½â£º£¨1£©Ð¡ÇòÔÚ×î¸ßµãÖØÁ¦³äµ±ÏòÐÄÁ¦£º
ÔÂÇò½üµØÎÀÐÇ×îС·¢ÉäËÙ¶È£º
ÓÖ£º
½âµÃ£º
£¨2£©ÓÉ£º
µÃ£º
ÓÖ£º
½âµÃ£º
£¨3£©¶Ô¸ÃÎÀÐÇÓУº
½âµÃ£º
´ð£º
£¨1£©ÈôÔÚÔÂÇò±íÃæÉÏ·¢ÉäÒ»¿Å»·ÔÂÎÀÐÇ£¬ËùÐè×îС·¢ÉäËÙ¶ÈΪ
£¨2£©ÔÂÇòµÄƽ¾ùÃܶÈΪ
£¨3£©¹ìµÀ°ë¾¶Îª2RµÄ»·ÔÂÎÀÐÇÖÜÆÚΪ
µãÆÀ£º±¾ÌâÖØµãÒ»ÊǶÔ×îС·¢ÉäËٶȵÄÇó½â£¬Ó¦ÖªµÀ×îС·¢ÉäËٶȶÔÓ¦µÄÏòÐÄÁ¦Ê±ÖØÁ¦£®¶þÊÇÃܶȵÄÇó½â£¬¾ÍÊÇÓÃÖÊÁ¿³ýÒÔÌå»ý£¬ÕâÀïµÄÖØµãÊÇÒÀ¾ÝÒÑÖªÁ¿À´±íʾÖÊÁ¿£®
£¨2£©ÓÉÍòÓÐÒýÁ¦µÈÓÚÖØÁ¦½â³öÖÊÁ¿£¬È»ºóÓÖÃܶȵÈÓÚÖÊÁ¿³ýÒÔÌå»ý¿ÉÒԵõ½Ãܶȣ®
£¨3£©ÓÉÍòÓÐÒýÁ¦³äµ±ÏòÐÄÁ¦µÄÖÜÆÚ±í´ïʽ£¬¿ÉÒԵõ½ÖÜÆÚ£®
½â´ð£º½â£º£¨1£©Ð¡ÇòÔÚ×î¸ßµãÖØÁ¦³äµ±ÏòÐÄÁ¦£º
ÔÂÇò½üµØÎÀÐÇ×îС·¢ÉäËÙ¶È£º
ÓÖ£º
½âµÃ£º
£¨2£©ÓÉ£º
µÃ£º
ÓÖ£º
½âµÃ£º
£¨3£©¶Ô¸ÃÎÀÐÇÓУº
½âµÃ£º
´ð£º
£¨1£©ÈôÔÚÔÂÇò±íÃæÉÏ·¢ÉäÒ»¿Å»·ÔÂÎÀÐÇ£¬ËùÐè×îС·¢ÉäËÙ¶ÈΪ
£¨2£©ÔÂÇòµÄƽ¾ùÃܶÈΪ
£¨3£©¹ìµÀ°ë¾¶Îª2RµÄ»·ÔÂÎÀÐÇÖÜÆÚΪ
µãÆÀ£º±¾ÌâÖØµãÒ»ÊǶÔ×îС·¢ÉäËٶȵÄÇó½â£¬Ó¦ÖªµÀ×îС·¢ÉäËٶȶÔÓ¦µÄÏòÐÄÁ¦Ê±ÖØÁ¦£®¶þÊÇÃܶȵÄÇó½â£¬¾ÍÊÇÓÃÖÊÁ¿³ýÒÔÌå»ý£¬ÕâÀïµÄÖØµãÊÇÒÀ¾ÝÒÑÖªÁ¿À´±íʾÖÊÁ¿£®
Á·Ï°²áϵÁдð°¸
Ïà¹ØÌâÄ¿