题目内容
(1)有一游标卡尺,主尺的最小分度是1mm,游标上有20个小的等分刻度.用它测量一小球的直径,如图所示的读数是______mm.(2)某同学利用如图甲所示的实验装置测量重力加速度.
①请指出该同学在实验操作中存在的两处明显错误或不当:
a.______;b.______.
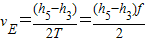
②该同学经正确操作得到如图乙所示的纸带,取连续的六个打点A、B、C、D、E、F为计数点,测得点A到B、C、D、E、F的距离分别为h1、h2、h3、h4、h5.若打点的频率为f,则打E点时重物速度的表达式为vE=______;若分别计算出各计数点对应的速度数值,并在坐标系中画出速度的二次方(v2)与距离(h)的关系图线,如图丙所示,则重力加速度g=______m/s2.
③若当地的重力加速度值为9.8m/s2,你认为该同学测量值存在偏差的主要原因是______.
【答案】分析:(1)标卡尺读数的方法是主尺读数加上游标读数,不需估读.主尺读数时看游标的0刻度线超过主尺哪一个示数,该示数为主尺读数,看游标的第几根刻度与主尺刻度对齐,乘以游标的分度值,即为游标读数.
(2)解决实验问题首先要掌握该实验原理,了解实验的仪器、操作步骤和数据处理以及注意事项,纸带实验中,若纸带匀变速直线运动,测得纸带上的点间距,利用匀变速直线运动的推论,可计算出打出某点时纸带运动的瞬时速度和加速度.
解答:解:(1)主尺读数为7mm,游标读数为0.05×5=0.25mm,所以最终读数为:7mm+0.25mm=7.25mm.
故答案为:7.25
(2)①本实验要求采用打电计时器,而打点计时器采用的是交流电源,而本实验中采用了直流电源;
同时,由于加速度较大,故纸带应在1米左右,且应让重物紧靠打点计时器,而本实验中离打点计时器太远,故错误为:
a、打点计时器接了直流电源;b、重物离打点计时器太远;
故答案为:a.打点计时器应接交流电源 b.重物释放时应紧靠打点计时器.
②根据中间时刻的瞬时速度等于该过程中的平均速度有:
.
根据v2=2gh可知:速度的二次方v2与距离(h)的关系图线的斜率为k=2g=18.8
所以g=9.4m/s2.
故答案为:
,9.4.
③重锤下落的过程中不可避免的受到阻力作用,因此计算得出的重力加速度比实际的要小.
故答案为:空气阻力和摩擦阻力的影响.
点评:在处理实验学的问题中,一定要先明确实验的原理,由原理即可容易得出实验中的仪器选择,数据处理及误差分析等问题.
(2)解决实验问题首先要掌握该实验原理,了解实验的仪器、操作步骤和数据处理以及注意事项,纸带实验中,若纸带匀变速直线运动,测得纸带上的点间距,利用匀变速直线运动的推论,可计算出打出某点时纸带运动的瞬时速度和加速度.
解答:解:(1)主尺读数为7mm,游标读数为0.05×5=0.25mm,所以最终读数为:7mm+0.25mm=7.25mm.
故答案为:7.25
(2)①本实验要求采用打电计时器,而打点计时器采用的是交流电源,而本实验中采用了直流电源;
同时,由于加速度较大,故纸带应在1米左右,且应让重物紧靠打点计时器,而本实验中离打点计时器太远,故错误为:
a、打点计时器接了直流电源;b、重物离打点计时器太远;
故答案为:a.打点计时器应接交流电源 b.重物释放时应紧靠打点计时器.
②根据中间时刻的瞬时速度等于该过程中的平均速度有:
根据v2=2gh可知:速度的二次方v2与距离(h)的关系图线的斜率为k=2g=18.8
所以g=9.4m/s2.
故答案为:
③重锤下落的过程中不可避免的受到阻力作用,因此计算得出的重力加速度比实际的要小.
故答案为:空气阻力和摩擦阻力的影响.
点评:在处理实验学的问题中,一定要先明确实验的原理,由原理即可容易得出实验中的仪器选择,数据处理及误差分析等问题.
练习册系列答案
相关题目