题目内容

如图,某人乘雪橇从雪坡经A点滑至B点,接着沿水平路面滑至C点停止.人与雪橇的总质量为70kg.下表中记录了沿坡滑下过程中的有关数据,请根据图表中的数据解决下列问题:

(1)

人与雪橇从A到B的过程中,损失的机械能为多少?

(2)

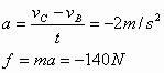
设人与雪橇在BC段所受阻力恒定,求阻力大小.(取g=10m/s2)

答案:
解析:

(1)

(2)


练习册系列答案
相关题目

违法和不良信息举报电话:027-86699610 举报邮箱:58377363@163.com

精英家教网