题目内容

如图所示是一列横波上A、B两质点的振动图象,该波由A传向B,两质点沿波的传播方向上的距离Δx=4.0 m,波长大于3.0 m,求这列波的波速.

答案:
解析:

  由振动图象可知,质点振动周期T=0.4 s

  取t=0时刻分析,质点A经平衡位置向上振动,质点B处于波谷,设波长为λ

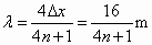
  则(n=0、1、2、3……) 2

  所以该波波长为 2

  因为有λ>3.0 m的条件,所以取n=0,1

  当n=0时,,波速 2

  当n=1时,,波速 2


练习册系列答案
相关题目

违法和不良信息举报电话:027-86699610 举报邮箱:58377363@163.com

精英家教网