题目内容
如图所示,在X>0,Y>0的空间中存在两个以水平面MN为界,磁感应强度大小均为B,方向相反的匀强磁场.一根上端开口、内壁光滑的绝缘细管,长为L,其底部有一质量为m、电量为+q的粒子.在水平外力作用下,保持细管始终平行于Y轴,沿X方向以速度v匀速向右运动,且(1)细管刚进入磁场时,粒子运动的加速度大小、方向;
(2)维持细管始终平行于Y轴向右匀速运动的过程中,水平外力所做的功;
(3)粒子第一次到达运动轨迹最高点的位置坐标.
【答案】分析:(1)求出细管刚进入磁场时,粒子受到的合力(洛伦兹力),然后根据牛顿第二定律求出加速度的大小及方向.
(2)粒子离开管子前,在竖直方向上受到恒定的力qvB,所以向上做匀加速直线运动,在水平方向上和管子一起做匀速直线运动.求出离开管子粒子的合速度,根据功能关系,求出水平外力所做的功.
(3)可求出粒子离开管子的合速度大小和方向,进入磁场后做匀速圆周运动,通过洛伦兹力提供向心力,求出匀速圆周运动的半径.粒子离开管子前在竖直方向上做匀加速直线运动,求出匀加速直线运动的时间,可得知粒子在水平方向上的位移,根据几何关系,求出最高点的横坐标和纵坐标.
解答:解:(1)以粒子为研究对象,粒子刚进入磁场f1=qvB
=
沿+Y方向
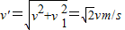
(2)粒子离开玻璃管前,在管中竖直方向做匀加速直线运动,水平方向做匀速运动,设粒子在管中竖直方向做加速运动的加速度a,粒子运动到管口时,粒子在竖直方向的分速为v1,则
在竖直方向 a=a1 v12=2aL
可解得 v1=v
粒子离开玻璃管口时的速度
速度方向与MN成45°角
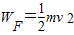
外力所做的功,
有功能关系 WF=△Ek
可得
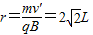
(3)粒子离开管口后,在磁场中做匀速圆周运动
在磁场中

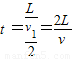
粒子在管中运动的时间
粒子在管中运动的过程中发生的水平位移△x=vt=2L
轨迹最高点的位置坐标:x=△x+r?sin45°=4L
..
点评:解决本题的关键理清粒子的运动,在管子中的运动可分解为水平方向和竖直方向,水平方向上匀速直线运动,竖直方向上匀加速直线运动.离开管子后做匀速圆周运动.
(2)粒子离开管子前,在竖直方向上受到恒定的力qvB,所以向上做匀加速直线运动,在水平方向上和管子一起做匀速直线运动.求出离开管子粒子的合速度,根据功能关系,求出水平外力所做的功.
(3)可求出粒子离开管子的合速度大小和方向,进入磁场后做匀速圆周运动,通过洛伦兹力提供向心力,求出匀速圆周运动的半径.粒子离开管子前在竖直方向上做匀加速直线运动,求出匀加速直线运动的时间,可得知粒子在水平方向上的位移,根据几何关系,求出最高点的横坐标和纵坐标.
解答:解:(1)以粒子为研究对象,粒子刚进入磁场f1=qvB
(2)粒子离开玻璃管前,在管中竖直方向做匀加速直线运动,水平方向做匀速运动,设粒子在管中竖直方向做加速运动的加速度a,粒子运动到管口时,粒子在竖直方向的分速为v1,则
在竖直方向 a=a1 v12=2aL
可解得 v1=v
粒子离开玻璃管口时的速度
速度方向与MN成45°角
外力所做的功,
有功能关系 WF=△Ek
可得
(3)粒子离开管口后,在磁场中做匀速圆周运动
在磁场中
粒子在管中运动的时间
粒子在管中运动的过程中发生的水平位移△x=vt=2L
轨迹最高点的位置坐标:x=△x+r?sin45°=4L
点评:解决本题的关键理清粒子的运动,在管子中的运动可分解为水平方向和竖直方向,水平方向上匀速直线运动,竖直方向上匀加速直线运动.离开管子后做匀速圆周运动.
练习册系列答案
相关题目