题目内容
如图所示,宇航员站在某质量分布均匀的星球表面一斜坡上P点沿水平方向以初速度v抛出一个小球,测得小球经时间t落到斜坡上另一点Q,斜面的倾角为α,已知该星球半径为R,万有引力常量为G,求:(1)该星球表面的重力加速度;
(2)该星球的密度;
(3)该星球的第一宇宙速度v;
(4)人造卫星绕该星球表面做匀速圆周运动的最小周期T.
【答案】分析:(1)根据平抛运动规律列出水平方向和竖直方向的位移等式,结合几何关系求出重力加速度.
(2)忽略地球自转的影响,根据万有引力等于重力列出等式.根据密度公式求解.
(3)该星球的近地卫星的向心力由万有引力提供,该星球表面物体所受重力等于万有引力,联立方程即可求出该星球的第一宇宙速度υ
解答:解:(1)设该星球表现的重力加速度为g,根据平抛运动规律:
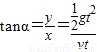
水平方向:x=vt
竖直方向:
平抛位移与水平方向的夹角的正切值
得
;
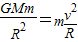
(2)在星球表面有:
,所以
该星球的密度:
;
(3)由
,可得v=
,
又GM=gR2,所以
;
(4)绕星球表面运行的卫星具有最小的周期,即:

故答案为:(1)
;(2)该星球的密度
;(3)该星球的第一宇宙速度
;(4)人造卫星绕该星球表面做匀速圆周运动的最小周期
点评:处理平抛运动的思路就是分解.重力加速度g是天体运动研究和天体表面宏观物体运动研究联系的物理量.
(2)忽略地球自转的影响,根据万有引力等于重力列出等式.根据密度公式求解.
(3)该星球的近地卫星的向心力由万有引力提供,该星球表面物体所受重力等于万有引力,联立方程即可求出该星球的第一宇宙速度υ
解答:解:(1)设该星球表现的重力加速度为g,根据平抛运动规律:
水平方向:x=vt
竖直方向:
平抛位移与水平方向的夹角的正切值
得
(2)在星球表面有:
该星球的密度:
(3)由
又GM=gR2,所以
(4)绕星球表面运行的卫星具有最小的周期,即:
故答案为:(1)
点评:处理平抛运动的思路就是分解.重力加速度g是天体运动研究和天体表面宏观物体运动研究联系的物理量.
练习册系列答案
相关题目