ÌâÄ¿ÄÚÈÝ
ÖÊÁ¿¾ùΪmµÄÁ½¸öСÎïÌåAºÍB£¬¾²Ö¹·ÅÔÚ×ã¹»³¤µÄË®Æ½ÃæÉÏ£¬Ïà¾àL=12.5m£®ËüÃǸúË®Æ½Ãæ¼äµÄ¶¯Ä¦²ÁÒòÊý¾ùΪ¦Ì=0.2£¬ÆäÖÐA´øµçºÉÁ¿ÎªqµÄÕýµçºÉ£¬ÓëË®Æ½ÃæµÄ½Ó´¥ÊǾøÔµµÄ£¬B²»´øµç£®ÏÖÔÚË®Æ½Ãæ¸½½ü¿Õ¼ä¼ÓһˮƽÏòÓÒµÄÔÈÇ¿µç³¡£¬³¡Ç¿E=3mg/10q£¬A±ã¿ªÊ¼ÏòÓÒÔ˶¯£¬²¢ÓëB·¢Éú¶à´Î¶ÔÐÄÅöײ£¬Åöײ¹ý³Ìʱ¼ä¼«¶Ì£¬Ã¿´ÎÅöײºóÁ½ÎïÌå½»»»ËÙ¶È£¬A´øµçÁ¿²»±ä£¬BʼÖÕ²»´øµç£®gÈ¡10m/s2£®ÊÔÇó£¨1£©AÓëBµÚ1´ÎÅöײºóBµÄËÙ¶È´óС£»£¨2£©AÓëB´ÓµÚ2´ÎÅöײµ½µÚ3´ÎÅöײ¹ý³ÌÖÐBÔ˶¯µÄʱ¼ä£»£¨3£©Ð¡ÎïÌåAÔ˶¯¹ý³ÌÖеçÊÆÄܱ仯µÄ×î´óÖµ
¡¾´ð°¸¡¿·ÖÎö£º£¨1£©ÓÉÅ£¶ÙµÚ¶þ¶¨ÂɽáºÏÔ˶¯Ñ§¹«Ê½£¬¿ÉÇó³öAÓëBµÚ1´ÎÅöײºóBµÄËÙ¶È´óС£»
£¨2£©ÓÉÅ£¶ÙµÚ¶þ¶¨ÂÉ¿ÉÇó³öÎïÌåBµÄ¼ÓËÙ¶È£¬¼Ó֮ÿ´ÎÅöײºóÁ½ÎïÌå½»»»ËÙ¶È£¬´Ó¶ø¸ù¾ÝÔ˶¯Ñ§¹«Ê½¿ÉÇó³öµÚ2´ÎÅöײµ½µÚ3´ÎÅöײ¹ý³ÌÖУ¬ÅöºóBÔ˶¯µÄʱ¼ä£»
£¨3£©¸ù¾ÝµÚ2ÎÊ¿ÉÁгöÿ´ÎÅöײʱËÙ¶È´óС£¬½áºÏÎ»ÒÆÓëʱ¼ä¹ØÏµ´Ó¶øÇó³ö£¬ÅöײN´ÎµÄ×ÜÎ»ÒÆ£¬ÔÙÓɵ糡Á¦×ö¹¦£¬ÇóµÃСÎïÌåAÔ˶¯¹ý³ÌÖеçÊÆÄܱ仯µÄ×î´óÖµ£®
½â´ð£º½â£º£¨1£©¶ÔA£¬¸ù¾ÝÅ£¶ÙµÚ¶þ¶¨ÂÉ Eq-¦Ìmg=maA£¬
½âµÃ¼ÓËÙ¶È aA=1m/s2
¸ù¾Ý¹«Ê½
½âµÃAÓëBÅöǰËÙ¶È vA1=5m/s
Åöײ½»»»ËÙ¶È£¬µÚ1´ÎÅöºó£¬AµÄËÙ¶ÈΪ0£¬BµÄËÙ¶È vB1=vA1=5m/s£®
£¨2£©¶ÔB£¬¸ù¾ÝÅ£¶ÙµÚ¶þ¶¨ÂÉ ¦Ìmg=maB£¬½âµÃ¼ÓËÙ¶È´óСaB=2m/s2

ÿ´ÎÅöºóB×÷ÔȼõËÙÔ˶¯£¬ÒòÆä¼ÓËÙ¶È´óÓÚAµÄ¼ÓËÙ¶È£¬ËùÒÔBÏÈÍ££¬Ö®ºóA×·ÉÏÔÙÅö£¬Ã¿´ÎÅöºóAµÄËٶȾùΪ0£¬È»ºó¼ÓËÙÔÙÓëB·¢ÉúÏ´ÎÅöײ£®
µÚ1´ÎÅöײ£ºÅöºóBÔ˶¯µÄʱ¼ä
µÚ2´ÎÅöײ£ºÅöǰAµÄËÙ¶ÈΪvA2£¬Ôò
ÉèxB1ΪµÚ1´ÎÅöºóBµÄÎ»ÒÆ£¬Ôò
ÓÉÒÔÉÏÁ½Ê½µÃ
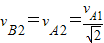
ÅöºóBµÄËÙ¶È 
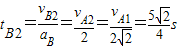
´ÓµÚ2´ÎÅöײµ½µÚ3´ÎÅöײ¹ý³ÌÖУ¬ÅöºóBÔ˶¯µÄʱ¼ä

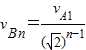
£¨3£©¸ù¾ÝµÚ£¨2£©ÎʵķÖÎö£¬¾¹ýn´ÎÅöײºóBµÄËÙ¶È
´ÓµÚ1´ÎÅöײµ½µÚn´ÎÅöײºóBͨ¹ýµÄ×Ü·³Ì
=
ËùÒÔ
µ±n¡ú¡Þʱ£¬¼´µÃBͨ¹ýµÄ×Ü·³Ì x=12.5m
¡÷EP£¨max£©=-qE£¨L+x£©=-7.5mg
µãÆÀ£º±¾ÌâÖ÷Òª¿¼²éÁËÅ£¶ÙµÚ¶þ¶¨ÂÉ¡¢Ô˶¯Ñ§¹«Ê½£¬²¢¸ù¾ÝÅöײËÙ¶È»¥»»£¬´Ó¶øµÃµ½Ô˶¯¼äÁªÏµ£®Í¬Ê±×¢ÒâµçÊÆÄܵļõÉÙÁ¿µÈÓڵ糡Á¦Ëù×öµÄ¹¦£¬ÄѶÈÊÊÖУ¬ÊôÓÚÖеµÌâ
£¨2£©ÓÉÅ£¶ÙµÚ¶þ¶¨ÂÉ¿ÉÇó³öÎïÌåBµÄ¼ÓËÙ¶È£¬¼Ó֮ÿ´ÎÅöײºóÁ½ÎïÌå½»»»ËÙ¶È£¬´Ó¶ø¸ù¾ÝÔ˶¯Ñ§¹«Ê½¿ÉÇó³öµÚ2´ÎÅöײµ½µÚ3´ÎÅöײ¹ý³ÌÖУ¬ÅöºóBÔ˶¯µÄʱ¼ä£»
£¨3£©¸ù¾ÝµÚ2ÎÊ¿ÉÁгöÿ´ÎÅöײʱËÙ¶È´óС£¬½áºÏÎ»ÒÆÓëʱ¼ä¹ØÏµ´Ó¶øÇó³ö£¬ÅöײN´ÎµÄ×ÜÎ»ÒÆ£¬ÔÙÓɵ糡Á¦×ö¹¦£¬ÇóµÃСÎïÌåAÔ˶¯¹ý³ÌÖеçÊÆÄܱ仯µÄ×î´óÖµ£®
½â´ð£º½â£º£¨1£©¶ÔA£¬¸ù¾ÝÅ£¶ÙµÚ¶þ¶¨ÂÉ Eq-¦Ìmg=maA£¬
½âµÃ¼ÓËÙ¶È aA=1m/s2
¸ù¾Ý¹«Ê½
½âµÃAÓëBÅöǰËÙ¶È vA1=5m/s
Åöײ½»»»ËÙ¶È£¬µÚ1´ÎÅöºó£¬AµÄËÙ¶ÈΪ0£¬BµÄËÙ¶È vB1=vA1=5m/s£®
£¨2£©¶ÔB£¬¸ù¾ÝÅ£¶ÙµÚ¶þ¶¨ÂÉ ¦Ìmg=maB£¬½âµÃ¼ÓËÙ¶È´óСaB=2m/s2
ÿ´ÎÅöºóB×÷ÔȼõËÙÔ˶¯£¬ÒòÆä¼ÓËÙ¶È´óÓÚAµÄ¼ÓËÙ¶È£¬ËùÒÔBÏÈÍ££¬Ö®ºóA×·ÉÏÔÙÅö£¬Ã¿´ÎÅöºóAµÄËٶȾùΪ0£¬È»ºó¼ÓËÙÔÙÓëB·¢ÉúÏ´ÎÅöײ£®
µÚ1´ÎÅöײ£ºÅöºóBÔ˶¯µÄʱ¼ä
µÚ2´ÎÅöײ£ºÅöǰAµÄËÙ¶ÈΪvA2£¬Ôò
ÉèxB1ΪµÚ1´ÎÅöºóBµÄÎ»ÒÆ£¬Ôò
ÓÉÒÔÉÏÁ½Ê½µÃ
´ÓµÚ2´ÎÅöײµ½µÚ3´ÎÅöײ¹ý³ÌÖУ¬ÅöºóBÔ˶¯µÄʱ¼ä
£¨3£©¸ù¾ÝµÚ£¨2£©ÎʵķÖÎö£¬¾¹ýn´ÎÅöײºóBµÄËÙ¶È
´ÓµÚ1´ÎÅöײµ½µÚn´ÎÅöײºóBͨ¹ýµÄ×Ü·³Ì
ËùÒÔ
µ±n¡ú¡Þʱ£¬¼´µÃBͨ¹ýµÄ×Ü·³Ì x=12.5m
¡÷EP£¨max£©=-qE£¨L+x£©=-7.5mg
µãÆÀ£º±¾ÌâÖ÷Òª¿¼²éÁËÅ£¶ÙµÚ¶þ¶¨ÂÉ¡¢Ô˶¯Ñ§¹«Ê½£¬²¢¸ù¾ÝÅöײËÙ¶È»¥»»£¬´Ó¶øµÃµ½Ô˶¯¼äÁªÏµ£®Í¬Ê±×¢ÒâµçÊÆÄܵļõÉÙÁ¿µÈÓڵ糡Á¦Ëù×öµÄ¹¦£¬ÄѶÈÊÊÖУ¬ÊôÓÚÖеµÌâ
Á·Ï°²áϵÁдð°¸
Ïà¹ØÌâÄ¿