题目内容

如图甲所示,长、宽分别为的矩形金属线框位于竖直平面内.其匝数为n,总电阻为r,可绕其竖直中心轴转动。线框的两个末端分别与两个彼此绝缘的铜环C、D(集流环)焊接在一起,并通过电刷和定值电阻R相连。线框所在空间有水平向右均匀分布的磁场,磁感应强度B的大小随时间t的变化关系如图乙所示,其中均为已知。 在的时间内,线框保持静止,且线框平面和磁场垂直:时刻后线框在外力的驱动下开始绕其竖直中心轴以角速度匀速转动。求:

(1)时间内通过电阻R的电流的大小;

(2)线框匀速转动后,在转动一周的过程中电流通过电阻R产生的热量Q;

(3)线框匀速转动后,从图甲所示位置转过的过程中,通过电阻R的电荷量q。

 

【答案】

(1)(2)(3)

【解析】

试题分析:(1)0-t1时间内,线圈内产生的感应电动势;根据闭合电路欧姆定律,通过电阻R的电流为=

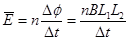
(2)线框产生的感应电动势的最大值

感应电动势的有效值

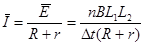
感应电流的有效值

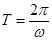
转动一周的时间

在一个周期内电阻R上产生的热量为

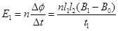
(3)线圈从图示位置转过900时,线圈中产生的平均电动势为

平均电流为

流过电阻R的电量为

考点:此题考查法拉第电磁感应定律及交流电的最大值有效值及平均值的问题。

 

练习册系列答案
相关题目

违法和不良信息举报电话:027-86699610 举报邮箱:58377363@163.com

精英家教网