题目内容

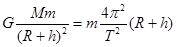
 已知地球质量为M,半径为R,自转周期为T,地球同步卫星质量为m,引力常量为G。有关同步卫星,下列表述正确的是

A.卫星距离地面的高度为

B.卫星的线速度为

C..卫星运行时受到的向心力大小为

D.卫星运行的向心加速度小于地球表面的重力加速度

 

【答案】

BD

【解析】

试题分析:设卫星距离地面的高度为h,卫星运行时受到的向心力大小 C错误;卫星处的向心加速度,(g为地球表面处的重力加速度),D正确;同步卫星运行周期与地球自转周期相同中,根据牛顿运动定律:,因此卫星距离地面的高度,A错误;卫星的线速度,B正确;

考点:万有引力与航天

 

练习册系列答案
相关题目

违法和不良信息举报电话:027-86699610 举报邮箱:58377363@163.com

精英家教网