题目内容
一个金属电阻R的阻值在一定范围内随温度呈线性变化,如图甲所示.将该电阻接入如图乙所示电路,图中R为定值电阻,C为平行板电容器,极板长度为l,极板间距为d,极板的右侧距极板L处有一荧光屏.现让一束电子(质量为m,电量为e)以速度v平行于极板沿中线进入电容器,若所有电子均能从右侧穿出,则当R的温度在t1-t2之间变化时,电子束在荧光屏上扫描的范围如何?(电源电动势为E,内阻不计)
【答案】分析:根据欧姆定律可以得出电容器电压与R及E的关系,电子束进入电容器后做类平抛运动,根据平抛运动的规律求出偏转位移,再把R的温度在t1-t2之间变化的R值带进偏转位移式子就可以求出范围.
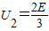
解答:解:设极板间电压为U,则
电子从极板间飞出时的速度偏角设为α,偏移量设为y,则电子打到荧光屏上的位置P到O的距离为y´
y=
l=vt
a=
所以y=
tanα=
vy=at
所以tanα=
所以y′=y+Ltanα=
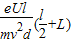
t=t1时,

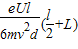
t=t2时,

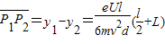
所以电子束在荧光屏上扫描的范围是:

答:当R的温度在t1-t2之间变化时,电子束在荧光屏上扫描的范围为
.
点评:本题考查带电粒子在电场中的偏转,注意带电粒子在此电场中做类平抛运动,根据平抛运动的基本规律解题.
解答:解:设极板间电压为U,则
电子从极板间飞出时的速度偏角设为α,偏移量设为y,则电子打到荧光屏上的位置P到O的距离为y´
y=
l=vt
a=
所以y=
tanα=
vy=at
所以tanα=
所以y′=y+Ltanα=
t=t1时,
t=t2时,
所以电子束在荧光屏上扫描的范围是:
答:当R的温度在t1-t2之间变化时,电子束在荧光屏上扫描的范围为
点评:本题考查带电粒子在电场中的偏转,注意带电粒子在此电场中做类平抛运动,根据平抛运动的基本规律解题.
练习册系列答案
相关题目