题目内容

光滑绝缘半球槽的半径为R,处在水平向右的匀强电场中,一质量为m的带电小球从槽的右端A处(与球心等高)无初速沿轨道滑下,滑到最低点B时,球对轨道的压力为2mg。求

(1)小球从A到B的过程中受到的电场力做的功及电场力的大小

(2)带电小球在滑动过程中的最大速度

 

【答案】

(1);(2)

【解析】

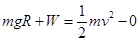
试题分析:(1)设小球运动到最底位置B时速度为v,此时

设电场力大小为F,做功为W,由题意,小球从A处沿槽滑到最底位置B的过程中,

根据动能定理

由以上两式得:

电场力做负功,说明电场力方向水平向右。

电场力的大小

(2)小球在滑动过程中最大速度的条件:

是小球沿轨道运动过程某位置时切向合力为零,

设此时小球和圆心间的连线与竖直方向的夹角

为θ,如图

mgsinθ=Fcosθ 得:tanθ= 

小球由A处到最大速度位置的过程中

mgRcosθ-mgR(1-sinθ)=  mvm2-0

得:vm=.

考点:带电粒子在复合场中的运动,匀速圆周运动,动能定理

 

练习册系列答案
相关题目

违法和不良信息举报电话:027-86699610 举报邮箱:58377363@163.com

精英家教网