题目内容
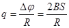
如图所示,单匝线圈在匀强磁场中绕
轴从图示位置开始匀速转动.①若线圈从图示位置转过
时,线圈中电动势大小为10V,则电动势的最大值为
V②若线圈产生的最大电动势为40V,线圈电阻为R=1Ω,角速度ω=100
rad/s,则线圈由图示位置转过900过程中产生的热量 ,由图示位置转过1800过程中通过线圈截面的电量
。(结果可以为分数形式)
![]()
【答案】
.①20
②4J
C
【解析】
试题分析:①根据
,当
时,e=10V,解得 Em=20V; ②电动势的有效值为
,转过900的时间为 t=
=
,产生的热量
;由于
所以
,又因为
=
C。
考点:交流电的产生及变化规律;交流电的有效值与最大值的关系
。
练习册系列答案
相关题目
| A、线圈匀速转动过程中消耗的电功率为4W | ||||
| B、线圈中感应电流的有效值为2A | ||||
C、线圈在如图所示的位置磁通量的变化率为
| ||||
D、从图示位置开始计时,在任意时刻穿过线圈的磁通量为Φ=
|