题目内容
如图所示,总长为l的光滑均匀铁链,跨过一个光滑的轻质小滑轮,开始时底端相平,当略有扰动时其一端下沉,则铁链刚脱离滑轮的瞬间其速度为多大?
答案:见详解
解析:
提示:
解析:
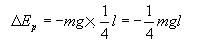
| 以整条铁链为研究对象,因为铁链光滑,不受摩擦阻力,只受到重力和支持力。但支持力不做功,只有重力做功,所以铁链在运动过程中机械能守恒。 铁链的重心位置下降 如图中所示,所以, 则根据机械能守恒定律:
|
提示:
| 运用机械能守恒。 |
练习册系列答案
相关题目