题目内容
在正常情况下,火车以54km/h的速度匀速开过一个小站.现因需要,必须在这一小站停留,火车将要到达小站时,以-0.5m/s2的加速度做匀减速运动,停留2分钟后,又以0.3m/s2的加速度出小站,一直到恢复原来的速度.求因列车停靠小站而延误的时间.
【答案】分析:火车先做匀减速直线运动,根据速度时间关系式解出所需的时间,根据位移时间关系式解出位移,火车后一过程做匀加速直线运动,再根据速度时间关系式和位移时间关系式分别解得结果.
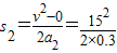
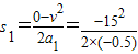
解答:解:设火车匀速运动的速度为v,进小站做匀减速运动时的加速度为a1,位移为s1,时间为t1,
出小站做匀加速运动时的加速度为a2,位移为s2,时间为t2,
由 v=54km/h=15m/s,
m=225m,
s=30s,
m=375m,
s=50s,
火车因进小站在减速、停留、加速过程中共用时(30+120+50)s=200s,
如正常情况下,这一过程只需用时:
s=40s,
所以因列车停靠小站而延误的时间为160s.
答:因列车停靠小站而延误的时间为160s.
点评:本题关键是分析清楚火车的运动情况,先匀减速直线运动后做匀加速直线运动,然后根据速度时间公式和速度位移公式列式求解.
解答:解:设火车匀速运动的速度为v,进小站做匀减速运动时的加速度为a1,位移为s1,时间为t1,
出小站做匀加速运动时的加速度为a2,位移为s2,时间为t2,
由 v=54km/h=15m/s,
火车因进小站在减速、停留、加速过程中共用时(30+120+50)s=200s,
如正常情况下,这一过程只需用时:
所以因列车停靠小站而延误的时间为160s.
答:因列车停靠小站而延误的时间为160s.
点评:本题关键是分析清楚火车的运动情况,先匀减速直线运动后做匀加速直线运动,然后根据速度时间公式和速度位移公式列式求解.
练习册系列答案
相关题目