题目内容
如图所示,M、N、P为很长的平行边界面,M、N与M、P间距分别为l1、l2,其间分别有磁感应强度为B1和B2的匀强磁场区,Ⅰ和Ⅱ磁场方向垂直纸面向里,B1≠B2,有一带正电粒子的电量为q,质量为m,以某一初速度垂直边界N及磁场方向射入MN间的磁场区域.不计粒子的重力.求:(1)要使粒子能穿过Ⅰ磁场进入Ⅱ磁场,粒子的初速度v至少应为多少?
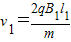
(2)若粒子进入磁场的初速度
(3)粒子初速度v为多少时,才可恰好穿过两个磁场区域.
【答案】分析:(1)粒子的初速度为v时恰好能进入Ⅱ磁场,则进入Ⅱ磁场时速度恰好沿M边界,根据洛伦兹力提供向心力公式即可求解;
(2)先求出运动的半径,再求出粒子在Ⅰ磁场中作匀速圆周对应的圆心角为α,结合周期公式即可求解;
(3)设粒子速度为v时,粒子在B2磁场中的轨迹恰好与P边界相切,画出粒子运动的轨迹图,根据半径公式结合几何关系即可求解.
解答:
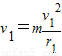
解:(1)粒子的初速度为v时恰好能进入Ⅱ磁场,则进入Ⅱ磁场时速度恰好沿M边界,所以半径为r=l1,则
Bqv=
解得:

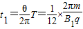
(2)粒子在磁场中运动,
Bq
解得:r1=2l1
粒子在Ⅰ磁场中作匀速圆周对应的圆心角为α,
sinα=
=
所以:α=
所以第一次穿过Ⅰ磁场的时间为:
=
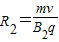
(3)设粒子速度为v时,粒子在B2磁场中的轨迹恰好与P边界相切,轨迹如图所示,
由Bqv=
可得:
,
sinθ=
=
粒子在B2中运动有:R2-R2sinθ=l2
解得:v=
答:(1)要使粒子能穿过Ⅰ磁场进入Ⅱ磁场,粒子的初速度v至少应为
;
(2)若粒子进入磁场的初速度
,则粒子第一次穿过Ⅰ磁场的时间t1是
;
(3)粒子初速度v为
时,才可恰好穿过两个磁场区域.
点评:本题是带电粒子在磁场中运动的问题,在磁场中做匀速圆周运动,要求同学们能画出粒子运动的轨迹,结合几何关系求解,知道半径公式及周期公式,难度适中.
(2)先求出运动的半径,再求出粒子在Ⅰ磁场中作匀速圆周对应的圆心角为α,结合周期公式即可求解;
(3)设粒子速度为v时,粒子在B2磁场中的轨迹恰好与P边界相切,画出粒子运动的轨迹图,根据半径公式结合几何关系即可求解.
解答:
Bqv=
解得:
(2)粒子在磁场中运动,
Bq
解得:r1=2l1
粒子在Ⅰ磁场中作匀速圆周对应的圆心角为α,
sinα=
所以:α=
所以第一次穿过Ⅰ磁场的时间为:
(3)设粒子速度为v时,粒子在B2磁场中的轨迹恰好与P边界相切,轨迹如图所示,
由Bqv=
sinθ=
粒子在B2中运动有:R2-R2sinθ=l2
解得:v=
答:(1)要使粒子能穿过Ⅰ磁场进入Ⅱ磁场,粒子的初速度v至少应为
(2)若粒子进入磁场的初速度
(3)粒子初速度v为
点评:本题是带电粒子在磁场中运动的问题,在磁场中做匀速圆周运动,要求同学们能画出粒子运动的轨迹,结合几何关系求解,知道半径公式及周期公式,难度适中.
练习册系列答案
相关题目