题目内容
某发电机输出功率是100kW,输出电压是250V,从发电机到用户间的输电线总电阻R是8Ω,要使输电线上的功率损失为5%,而用户得到的电压正好为220V,求升压变压器和降压变压器(都认为是理想变压器)的匝数比各是多少?
【答案】分析:发电机输出功率是100kW,输出电压是250V,根据P=UI可计算出升压变压器原线圈的输入电流I1,在根据输电线上的功率损失为5%,可计算出升压变压器副线圈的电流I2,根据
即可求出升压变压器的匝数比;由题意可计算出用户得到的功率,根据P=UI又可计算出降压变压器原线圈两端的电压,根据
即可求出降压变压器的匝数比.
解答:解:由P=UI可得:
升压变压器的原线圈输入电流:
输电线上损失的功率:
由P损=I2R得;输电线上的电流
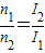
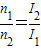
由
得:升压变压器的匝数比
用户得到的功率 P4=P3=P1-P损
=100×103-5×103W
=95×103W
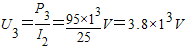
由P=UI可得:降压变压器原线圈两端的电压
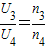
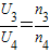
由
得:
降压变压器的匝数比:
答:升压变压器和降压变压器的匝数比1分别为:1:16 190:11.
点评:解决本题的关键知道原副线圈的匝数比等于原副线圈的电压比,以及掌握输电线上损失的功率P损=I2R.输电线上损失的功率往往是突破口.
解答:解:由P=UI可得:
升压变压器的原线圈输入电流:
输电线上损失的功率:
由P损=I2R得;输电线上的电流
由
用户得到的功率 P4=P3=P1-P损
=100×103-5×103W
=95×103W
由P=UI可得:降压变压器原线圈两端的电压
由
降压变压器的匝数比:
答:升压变压器和降压变压器的匝数比1分别为:1:16 190:11.
点评:解决本题的关键知道原副线圈的匝数比等于原副线圈的电压比,以及掌握输电线上损失的功率P损=I2R.输电线上损失的功率往往是突破口.
练习册系列答案
相关题目