题目内容

在探究“恒力做功与动能改变的关系”的实验中,某同学采用如下图3装置,小车质量M,在平衡摩擦力之后,挂上重物m后,小车拖动纸带并打出一系列的点。图中的纸带只是打出的纸带的一部分,所标注的点相邻两点的时间间隔为T。使用毫米刻度尺进行测量后,将数据记录在图中。则:(重力加速度为g)
                                                                                                                                                                                                                    ⑴若在该实验装置中绳子对小车的拉力取为mg,则小车质量M与所挂重物质量m应满足什么关系      

A.M>mB.M>>mC. M<mD.M<<m
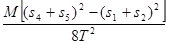
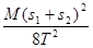
⑵若小车质量M和重物质量m满足(1)中条件,请用题目所给各个物理量的符号计算下面问题:
b点所对应的小车运动的动能为                     ;
从b点到e点,小车动能的增加量为                     ;
从b点到e点,重物对小车做功                         。

(1)B (2)                                       

解析

练习册系列答案
相关题目
(1)在“探究恒力做功与动能改变的关系”实验中,某实验小组采用如图甲所示的装置.实验步骤如下:精英家教网
①把纸带的一端固定在小车的后面,另一端穿过打点计时器
②改变木板的倾角,以重力的一个分力平衡小车及纸带受到的摩擦力
③用细线将木板七的小车通过-个定滑轮与悬吊的托盘相连
④接通电源,放开小车,让小车拖着纸带运动,打点计时器就在纸带上打下一系列的点
⑤测出s、s1、s2 (如图乙所示),查得打点周期为T
判断已平衡摩擦力的直接证据是
 
;本实验还需直接测量的物理量是:
 
.(并用相应的符号表示)
探究结果的表达式是
 
.(用相应的符号表示)
(2)利用本装置还可以测量滑块与木板之间的动摩擦因数.将小车换成滑块,木板平放在水平桌面上,打点计时器使用的交流电源的频率为50Hz.开始实验时,在托盘中放人适量砝码,滑块开始做匀加速运动,在纸带上打出一系列小点.
精英家教网
①上图给出的是实验中获取的一条纸带的一部分:0、l、2、3、4、5、6、7是计数点,每相邻两计数点间还有4个打点(图中未标出),计数点间的距离如图所示.根据图中数据计算的加速度α=
 
(保留三位有效数字).
②为测量动摩擦因数,下列物理量中还应测量的有
 
.(填入所选物理量前的字母)
A、木板的长度l
B、木板的质量m1
C、滑块的质量m2
D、托盘和砝码的总质量m3
E、滑块运动的时间t
测量上述所选定的物理量时需要的实验器材是
 

③滑块与木板间的动摩擦因数μ=
 
(用被测物理量的字母表示,重力加速度为g).

违法和不良信息举报电话:027-86699610 举报邮箱:58377363@163.com

精英家教网