题目内容
如图所示,一个质量为m、带电量为q的粒子从两带电平行板的正中间沿与匀强电场垂直的方向射入,不计粒子所受的重力.当粒子的入射速度为v时,它恰能穿过一电场区域而不碰到金属板上.现欲使质量为m、入射速度为A.使粒子的带电量减少为原来的
B.使两板间所接电源的电压减小到原来的一半
C.使两板间的距离增加到原来的2倍
D.使两极板的长度减小为原来的一半
【答案】分析:以一定速度垂直进入偏转电场,由于速度与电场力垂直,所以粒子做类平抛运动.这样类平抛运动可将看成沿初速度方向的匀速直线与垂直于初速度方向匀加速直线运动.根据运动学公式解题.
解答:解:设平行板长度为l,宽度为2d,板间电压为U,
恰能穿过一电场区域而不碰到金属板上,则
沿初速度方向做匀速运动:t=
.
垂直初速度方向做匀加速运动:a=
.
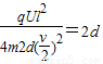
则d=
.
欲使质量为m、入射速度为
的粒子也能恰好穿过这一电场区域而不碰到金属板,则沿初速度方向距离仍是l,垂直初速度方向距离仍为d,
A、使粒子的带电量减少为原来的
,则y=
.故A正确.
B、使两板间所接电源的电压减小到原来的一半,则y=
.故B错误.
C、使两板间的距离增加到原来的2倍,此时垂直初速度方向距离应为2d,y=
.故C正确.
D、使两极板的长度减小为原来的一半,y=
.故D正确.
故选ACD.
点评:带电粒子在电场中偏转时做匀加速曲线运动.应用处理类平抛运动的方法处理粒子运动.
解答:解:设平行板长度为l,宽度为2d,板间电压为U,
恰能穿过一电场区域而不碰到金属板上,则
沿初速度方向做匀速运动:t=
垂直初速度方向做匀加速运动:a=
则d=
欲使质量为m、入射速度为
A、使粒子的带电量减少为原来的
B、使两板间所接电源的电压减小到原来的一半,则y=
C、使两板间的距离增加到原来的2倍,此时垂直初速度方向距离应为2d,y=
D、使两极板的长度减小为原来的一半,y=
故选ACD.
点评:带电粒子在电场中偏转时做匀加速曲线运动.应用处理类平抛运动的方法处理粒子运动.
练习册系列答案
相关题目