题目内容

(9分)某物体在水平拉力F1作用下由静止开始沿水平面运动,经过时间t后,将拉力突然变为相反方向,同时改变大小为F2,又经过时间2t后恰好回到出发点,求:

(1)F1与F2之比为多少?

(2)F1与F2做功之比为多少?

(3)求t时刻与3t时刻的速率之比为多少?

 

【答案】

  (1)  (2)  (3)

【解析】

试题分析:(1)由牛顿第二定律有a1= F1/m    a2= -F2/m,

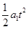
经过时间t的位移  s1=,   速度v1=a1t

又经过时间2t,在2t时间内的位移s2=v12t+

另有s1+ s2=0

联立以上各式解得:

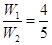
(2)F1做的功W1=F1s1,F2做的功W2=F2s2,因s1 s2大小相等,所以

(3)t时刻的速度:v1= a1t,3t时刻的速度:v2= v1+ a22t,结合前面式子可得求t时刻与3t时刻的速率之比为

考点: 牛顿第二定律  功

 

练习册系列答案
相关题目

违法和不良信息举报电话:027-86699610 举报邮箱:58377363@163.com

精英家教网