题目内容
A.1:2
B.1:4
C.1:6
D.1:10
【答案】分析:该题考查平抛运动,但问题在于:两次抛出的是落在斜面AB上,还是落在水平面BC上,或者是一个在斜面上,一个在水平面上.都在斜面上时,两个的水平位移比值最大,都在水平面上时,两个的水平位移的比值最小,两个的水平位移的比值应该在最大与最小值之间.先求出最小值,再求出最大值,即可.
解答:解:
若两次球都落在水平面BC上,下落高度相同,运动时间相同,水平距离S=vt,则有S1:S2=1:3.
若第一次小球落在斜面上,第二次落在水平面上,则
S1=vt1=
S2=3vt1=
得到
,则BC都有可能.
若两次球均落在斜面上,
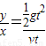
第一次:由tanθ=
,解得,t=
,S1=
同理,S2=
则S1:S2=1:9,
故选AD
点评:本题是平抛运动问题,难点在于分析小球的落点位置,考虑问题要全面,不能漏解.
解答:解:
若两次球都落在水平面BC上,下落高度相同,运动时间相同,水平距离S=vt,则有S1:S2=1:3.
若第一次小球落在斜面上,第二次落在水平面上,则
S1=vt1=
S2=3vt1=
得到
若两次球均落在斜面上,
第一次:由tanθ=
同理,S2=
则S1:S2=1:9,
故选AD
点评:本题是平抛运动问题,难点在于分析小球的落点位置,考虑问题要全面,不能漏解.
练习册系列答案
相关题目