ÌâÄ¿ÄÚÈÝ

ÈçͼËùʾµç·ÖУ¬µçÔ´µç¶¯ÊƦź㶨£¬ÄÚ×èr=1¦¸£¬¶¨Öµµç×èR3=5¦¸£®µ±µç¼üK¶Ï¿ªÓë±ÕºÏʱ£¬ab¶Îµç·ÏûºÄµÄµç¹¦ÂÊÏàµÈ£®ÔòÏÂÁÐ˵·¨ÖÐÕýÈ·µÄÊÇ £¨µç±í¾ùΪÀíÏë±í£©£¨ £©

A£®µç×èR1¡¢R2¿ÉÄÜ·Ö±ðΪ4¦¸¡¢5¦¸
B£®µç×èR1¡¢R2¿ÉÄÜ·Ö±ðΪ3¦¸¡¢6¦¸
C£®µç¼üK¶Ï¿ªÊ±µçѹ±íµÄʾÊýÒ»¶¨´óÓÚK±ÕºÏʱµÄʾÊý
D£®µç¼üK¶Ï¿ªÓë±ÕºÏʱµçѹ±íµÄʾÊý±ä»¯Á¿´óСÓëµçÁ÷±íµÄʾÊý±ä»¯Á¿´óС֮±ÈÒ»¶¨µÈÓÚ6¦¸
¡¾´ð°¸¡¿·ÖÎö£ºµ±K±ÕºÏʱR2±»¶Ì·£¬¸ù¾Ýµç¼üK¶Ï¿ªÓë±ÕºÏʱ£¬ab¶Îµç·ÏûºÄµÄµç¹¦ÂÊÏàµÈ£¬Áгö·½³Ì£¬½«µç×èR1¡¢R2´úÈ룬ѡÔñʹ·½³Ì³ÉÁ¢µÄ×èÖµ£®¸ù¾ÝÍâµç·×ܵç×èµÄ±ä»¯£¬·ÖÎöµçѹ±íʾÊýµÄ´óС¹ØÏµ£®¸ù¾Ý±ÕºÏµç·ŷķ¶¨ÂÉÇó½âµç¼üK¶Ï¿ªÓë±ÕºÏʱµçѹ±íµÄʾÊý±ä»¯Á¿´óСÓëµçÁ÷±íµÄʾÊý±ä»¯Á¿´óС֮±È£®
½â´ð£º½â£º
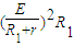
A¡¢BÓÉÌ⣬µç¼üK¶Ï¿ªÓë±ÕºÏʱ£¬ab¶Îµç·ÏûºÄµÄµç¹¦ÂÊÏàµÈ£¬ÔòÓÐ
   =
½«R1=4¦¸¡¢R2=5¦¸´úÈë·½³Ì³ÉÁ¢£¬¶ø½«R1=3¦¸¡¢R2=6¦¸´úÈë·½³Ì²»³ÉÁ¢£®¹ÊAÕýÈ·£¬B´íÎó£®
C¡¢µç¼üK¶Ï¿ªÊ±Íâµç·×ܵç×è´óÓÚK±ÕºÏʱÍâµç·×ܵç×裬Ôòµç¼üK¶Ï¿ªÊ±µçѹ±íµÄʾÊýÒ»¶¨´óÓÚK±ÕºÏʱµÄʾÊý£®¹ÊCÕýÈ·£®
D¡¢¸ù¾Ý±ÕºÏµç·ŷķ¶¨ÂɵãºU=E-£¨R3+r£©I£¬Ôòµçѹ±íµÄʾÊý±ä»¯Á¿´óСÓëµçÁ÷±íµÄʾÊý±ä»¯Á¿´óС֮±ÈΪ=R3+r=6¦¸£®¹ÊDÕýÈ·£®
¹ÊÑ¡ACD
µãÆÀ£º±¾Ì⿼²éÔËÓñպϵç·ŷķ¶¨ÂÉ·ÖÎöºÍ¼ÆËãµç·ÎÊÌâµÄÄÜÁ¦£®DÏîÒ²¿ÉÒÔ¸ù¾ÝU-IͼÏóÀí½â£®
Á·Ï°²áϵÁдð°¸
Ïà¹ØÌâÄ¿

Î¥·¨ºÍ²»Á¼ÐÅÏ¢¾Ù±¨µç»°£º027-86699610 ¾Ù±¨ÓÊÏ䣺58377363@163.com

¾«Ó¢¼Ò½ÌÍø