题目内容

如图所示,在国庆阅兵式中,某直升飞机在地面上空某高度A位置处于静止状态待命,要求该机10时56分40秒由静止状态沿水平方向做匀加速直线运动,经过AB段加速后,进入BC段的匀速受阅区,11时准时通过C位置,已知sAB=5km,sBC=10km.问:

(1)直升飞机在BC段的速度大小是多少?

(2)在AB段做匀加速直线运动时的加速度大小是多少?

答案:
解析:

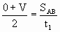
  (1)AB段,由匀加速运动平均速度,有

     

BC段,匀速直线运动有

      v=

由    t1+t2=200s,

代入数据联立解得:v=100m/s

  (2)由AB段匀加速直线运动,有

     v2=2aSAB

∴   a=v2/2SAB=1m/s2


练习册系列答案
相关题目

违法和不良信息举报电话:027-86699610 举报邮箱:58377363@163.com

精英家教网