题目内容
一个T型电路如图所示,电路中的电阻R1=10Ω,R2=120Ω,R3=40Ω.另有一测试电源,电动势为100V,内阻忽略不计.则 ( )
![]()
A.当cd端短路时,ab之间的等效电阻是40Ω
B.当ab端短路时,cd之间的等效电阻是40Ω
C.当ab两端接通测试电源时,cd两端的电压为80V
D.当cd两端接通测试电源时,ab两端的电压为80V
【答案】
AC
【解析】
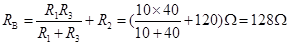
试题分析:当cd端短路时,ab间电路的结构是:电阻R2、R3并联后与R1串联,等效电阻为
,故A正确;当ab端短路时,cd之间电路结构是:电阻R1、R3并联后与R2串联,等效电阻为
,故B错误;当ab两端接通测试电源时,cd两端的电压等于电阻R3两端的电压,根据欧姆定律得:
,故C正确;当cd两端接通测试电源时,ab两端的电压等于电阻R3两端的电压,根据欧姆定律得:
,故D错误.所以选AC.
考点:本题考查了闭合电路的欧姆定律及对串并联电路结构的识别.
练习册系列答案
相关题目
| A、当cd端短路时,ab之间的等效电阻是40Ω | B、当ab端短路时,cd之间的等效电阻是40Ω | C、当ab两端接通测试电源时,cd两端的电压为80 V | D、当cd两端接通测试电源时,ab两端的电压为80 V |