ÌâÄ¿ÄÚÈÝ
Ç󣺣¨1£©ÊͷźóaÇòÀ뿪µ¯»ÉʱµÄËÙ¶È´óС£»
£¨2£©ÊͷźóbÇòÀ뿪µ¯»ÉʱµÄËÙ¶È´óС£»
£¨3£©ÊÍ·ÅСÇòǰµ¯»É¾ßÓеĵ¯ÐÔÊÆÄÜ£®
¡¾´ð°¸¡¿·ÖÎö£º£¨1£©Ð¡ÇòaÇ¡ºÃÄÜͨ¹ýAµã£¬ÖØÁ¦ÌṩÏòÐÄÁ¦£¬¸ù¾ÝÅ£¶ÙµÚ¶þ¶¨ÂÉÁÐʽÇó½âAµãËÙ¶È£¬È»ºó¸ù¾Ý»úеÄÜÊØºã¶¨ÂÉÇó½âaÇò¸ÕÀ뿪µ¯»ÉʱµÄËÙ¶È£»
£¨2£©bÇòÀ뿪×ÀÃæºó×öƽÅ×Ô˶¯£¬¸ù¾ÝƽÅ×Ô˶¯µÄ¹æÂÉÁÐʽÇó½â£»
£¨3£©µ¯»Éµ¯¿ªÁ½¸öÇò¹ý³Ì£¬ÏµÍ³»úеÄÜÊØºã£¬×ܶ¯Á¿Ò²Êغ㣬¸ù¾ÝÊØºã¶¨ÂÉÁз½³ÌÇó½â£®
½â´ð£º½â£º£¨1£©aÇòÇ¡ÄÜͨ¹ý°ëÔ²»·¹ìµÀ×î¸ßµãA£¬¹ÊÓУº
£»
aÇò´ÓBÔ˶¯µ½A¹ý³ÌÖлúеÄÜÊØºã£¬¹ÌÓУº
£»
ÁªÁ¢½âµÃ£º
¼´ÊͷźóaÇòÀ뿪µ¯»ÉʱµÄËÙ¶È´óСΪ
£»
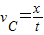
£¨2£©bÇòÔò´Ó×ÀÃæCµã»¬³ö×öƽÅ×Ô˶¯£º
ÊúÖ±·ÖÔ˶¯£º
ˮƽ·ÖÔ˶¯£º
´úÈëÊý¾ÝÇóµÃ£º
¹ÊÊͷźóbÇòÀ뿪µ¯»ÉʱµÄËÙ¶È´óСΪ
£»
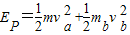
£¨3£©ÒÔabÓ뵯»ÉΪÑо¿¶ÔÏ󣬶¯Á¿Êغ㣺0=mva-mbvb
½âµÃ£ºmb=2m
µ¯»ÉµÄµ¯ÐÔÊÆÄÜΪ£º
½âµÃ
EP=3.75mgR
¹ÊÊÍ·ÅСÇòǰµ¯»É¾ßÓеĵ¯ÐÔÊÆÄÜΪ3.75mgR£®
µãÆÀ£º±¾Ìâ¹Ø¼üÃ÷È·Á½¸öÇò¸÷¸ö¹ý³ÌÖеÄÔ˶¯Çé¿ö£¬È»ºó¶Ô·Ö±ðÔËÓö¯Á¿Êغ㶨ÂÉ¡¢»úеÄÜÊØºã¶¨ÂÉ¡¢Æ½Å×Ô˶¯µÄ¹æÂÉÁÐʽÇó½â£®
£¨2£©bÇòÀ뿪×ÀÃæºó×öƽÅ×Ô˶¯£¬¸ù¾ÝƽÅ×Ô˶¯µÄ¹æÂÉÁÐʽÇó½â£»
£¨3£©µ¯»Éµ¯¿ªÁ½¸öÇò¹ý³Ì£¬ÏµÍ³»úеÄÜÊØºã£¬×ܶ¯Á¿Ò²Êغ㣬¸ù¾ÝÊØºã¶¨ÂÉÁз½³ÌÇó½â£®
½â´ð£º½â£º£¨1£©aÇòÇ¡ÄÜͨ¹ý°ëÔ²»·¹ìµÀ×î¸ßµãA£¬¹ÊÓУº
aÇò´ÓBÔ˶¯µ½A¹ý³ÌÖлúеÄÜÊØºã£¬¹ÌÓУº
ÁªÁ¢½âµÃ£º
¼´ÊͷźóaÇòÀ뿪µ¯»ÉʱµÄËÙ¶È´óСΪ
£¨2£©bÇòÔò´Ó×ÀÃæCµã»¬³ö×öƽÅ×Ô˶¯£º
ÊúÖ±·ÖÔ˶¯£º
ˮƽ·ÖÔ˶¯£º
´úÈëÊý¾ÝÇóµÃ£º
¹ÊÊͷźóbÇòÀ뿪µ¯»ÉʱµÄËÙ¶È´óСΪ
£¨3£©ÒÔabÓ뵯»ÉΪÑо¿¶ÔÏ󣬶¯Á¿Êغ㣺0=mva-mbvb
½âµÃ£ºmb=2m
µ¯»ÉµÄµ¯ÐÔÊÆÄÜΪ£º
½âµÃ
EP=3.75mgR
¹ÊÊÍ·ÅСÇòǰµ¯»É¾ßÓеĵ¯ÐÔÊÆÄÜΪ3.75mgR£®
µãÆÀ£º±¾Ìâ¹Ø¼üÃ÷È·Á½¸öÇò¸÷¸ö¹ý³ÌÖеÄÔ˶¯Çé¿ö£¬È»ºó¶Ô·Ö±ðÔËÓö¯Á¿Êغ㶨ÂÉ¡¢»úеÄÜÊØºã¶¨ÂÉ¡¢Æ½Å×Ô˶¯µÄ¹æÂÉÁÐʽÇó½â£®
Á·Ï°²áϵÁдð°¸
Ïà¹ØÌâÄ¿