题目内容

(16分)如图,一不可伸长的轻绳上端悬挂于O点,下端系一质量m=1.0 kg的小球。现将小球拉到A点(保持绳绷直)由静止释放,当它经过B点时绳恰好被拉断,小球平抛后落在水平地面上的C点。地面上的D点与OB在同一竖直线上,已知绳长L=1.0 m,B点离地高度H=1.0 m,A、B两点的高度差h=0.5 m,重力加速度g取10m/s2,不计空气影响,求:

 

(1)地面上DC两点间的距离s;

(2)轻绳所受的最大拉力大小。

 

【答案】

(1)1.41m;(2)20N

【解析】

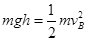
试题分析:⑴小球从过程机械能守恒,有   (3分)

小球从做平抛运动,在竖直方向上有    ( 2分)

在水平方向上有  (2分)

联解得     (2分)

⑵小球下摆到达点时,绳的拉力和重力的合力提供向心力,有

   (3分)

根据牛顿第三定律     (2分)

轻绳所受的最大拉力为   (2分)

考点:机械能守恒,平抛运动,圆周运动向心力

 

练习册系列答案
相关题目

违法和不良信息举报电话:027-86699610 举报邮箱:58377363@163.com

精英家教网