题目内容
一辆汽车以54km/h的速率在某限速道路上超速匀速行驶,当这辆违章超速行驶的汽车刚刚驶过一辆警车时,警车立即从静止开始以2.5m/s2的加速度匀加速追去(两车行驶路线看做直线),求:(1)警车何时能追上超速车?
(2)警车追上超速车时,警车的速度为多大?
【答案】分析:(1)根据两车位移相等,通过匀变速直线运动的位移时间公式求出追及的时间.
(2)根据速度时间公式求出警车的速度.
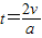
解答:解:(1)当警车追上超速车时,满足
vt=
化简解得
代入数据得 t=12s
(2)设警车追上超速车时速度为v,则
v=at
代入数据得 v=30m/s
答:(1)警车经过12s追上超速车.
(2)警车追上超速车时,警车的速度为30m/s.
点评:解决本题的关键抓住位移、时间相等,通过运动学公式灵活求解.
(2)根据速度时间公式求出警车的速度.
解答:解:(1)当警车追上超速车时,满足
vt=
化简解得
代入数据得 t=12s
(2)设警车追上超速车时速度为v,则
v=at
代入数据得 v=30m/s
答:(1)警车经过12s追上超速车.
(2)警车追上超速车时,警车的速度为30m/s.
点评:解决本题的关键抓住位移、时间相等,通过运动学公式灵活求解.
练习册系列答案
相关题目