ÌâÄ¿ÄÚÈÝ

µØÇòÖÊÁ¿ÎªM£¬°ë¾¶ÎªR£¬×Ôת¼ÓËÙ¶ÈΪ¦Ø£¬ÍòÓÐÒýÁ¦³£Á¿ÎªG£¬Èç¹û¹æ¶¨ÎïÌåÔÚÀëµØÇòÎÞÇîÔ¶´¦ÊÆÄÜΪ0£¬ÔòÖÊÁ¿ÎªmµÄÎïÌåÀëµØÐľàÀëΪrʱ£¬¾ßÓеÄÍòÓÐÒýÁ¦ÊÆÄܿɱíʾΪEp£½£®¹ú¼Ê¿Õ¼äÕ¾ÊÇÆù½ñÊÀ½çÉÏ×î´óµÄº½Ì칤³Ì£¬ËüÊÇÔÚµØÇò´óÆø²ãÉϿջ·ÈƵØÇò·ÉÐеÄÒ»¸ö¾Þ´óµÄÈËÔìÌìÌ壬¿É¹©ÓԱÔÚÆäÉϾÓסºÍ½øÐпÆÑ§ÊµÑ飮Éè¿Õ¼äÕ¾ÀëµØÃæ¸ß¶ÈΪh£¬Èç¹ûÔڸÿռäÕ¾ÉÏÖ±½Ó·¢ÉäÒ»¿ÅÖÊÁ¿ÎªmµÄСÎÀÐÇ£¬Ê¹ÆäÄܵ½´ïµØÇòͬ²½ÎÀÐǹìµÀ²¢ÄÜÔÚ¹ìµÀÉÏÕý³£ÔËÐУ¬Ôò¸ÃÎÀÐÇÔÚÀ뿪¿Õ¼äվʱ±ØÐë¾ßÓжà´óµÄ¶¯ÄÜ£¿

´ð°¸£º
½âÎö£º

¡¡¡¡´ð°¸£º

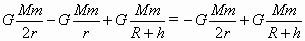
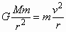
¡¡¡¡½â£ºÉèÎÀÐÇÀ뿪¿Õ¼äվʱµÄ¶¯ÄÜΪEk1£¬ÊÆÄÜΪEp1£¬µ½´ïµØÇòͬ²½ÎÀÐǹìµÀʱµÄ¶¯ÄÜΪEk2£¬ÊÆÄÜΪEp2£¬ÓÐEk1£«Ep1£½Ek2£«Ep2£¬ÎÀÐÇÈÆµØÇò×öÔÈËÙÔ²ÖÜÔ˶¯ËùÐèµÄÏòÐÄÁ¦ÎªµØÇòµÄÍòÓÐÒýÁ¦£º£¬Ôòv2£½£¬Ek2£½£»¶øÍ¬²½ÎÀÐǵĹìµÀ°ë¾¶rÂú×㣺 £½m¦Ø2r£¬r£½£»ÓÖÓÉÌâÒ⣬Ep1£½£¬Ep2£½£¬ËùÒÔEk1£½Ek2£«Ep2£­Ep1£½

¡¡¡¡£®


Á·Ï°²áϵÁдð°¸
Ïà¹ØÌâÄ¿

Î¥·¨ºÍ²»Á¼ÐÅÏ¢¾Ù±¨µç»°£º027-86699610 ¾Ù±¨ÓÊÏ䣺58377363@163.com

¾«Ó¢¼Ò½ÌÍø