题目内容

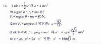
在某一旅游景区,建有一山坡滑草运动项目,该山坡可看成倾角=30°的斜面,一名游客连同滑草装置总质量m=80 kg,他从静止开始匀加速下滑,在时间t=5 s内沿斜面滑下的位移x=50 m.(不计空气阻力,取g=10 m/s2)问:

1.游客连同滑草装置在下滑过程中受到的摩擦力Ff为多大?

2.滑草装置与草皮之间的动摩擦因数为多大?

3.设游客滑下50m后进入水平草坪,试求游客在水平草坪上滑动的最大距离.

 

【答案】

 

1.80N

2.

3.

【解析】

 

练习册系列答案
相关题目

违法和不良信息举报电话:027-86699610 举报邮箱:58377363@163.com

精英家教网