题目内容
如图,表面光滑的固定斜面顶端安装一定滑轮,小物块A、B用轻绳连接并跨过滑轮(不计滑轮的质量和摩擦)。初始时刻,A、B处于同一高度并恰好处于静止状态。剪断轻绳后A下落、B沿斜面下滑,则从剪断轻绳到物块着地,两物块( )
![]()
A.速率的变化量不同 B.机械能的变化量不同
C.重力势能的变化量相同 D.重力做功的平均功率相同
【答案】
D
【解析】
试题分析:
试题分析:剪断两物块轻绳后A下落、B沿斜面下滑,则从剪断轻绳到物块着地,AB两物体都只有重力做功,所以AB两物体机械能守恒,得到
,
,
,
,A错误;因AB两物体机械能守恒,机械能的变化量都是零,B错误;由A、B恰好静止状态,得到
,两物体重力势能的变化量分别是
,
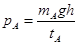
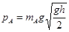
,所以重力势能的变化量不同,C错误;对A:
,
,联立得到
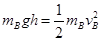
,对B:
,
,联立得到
,因
,所以AB两物体重力做功的平均功率相同,D正确。
考点:本题考查机械能守恒定律,匀变速直线运动的公式,功率的公式
点评:本题学生学生清楚绳剪断后A物体做自由落体运动,B物体做初速为零的匀加速直线运动,然后用相应的公式求解。
练习册系列答案
相关题目
| A、速度相等 | B、机械能不同 | C、重力势能相同 | D、重力的功率相同 |
| A、速率的变化量不同 | B、机械能的变化量不同 | C、重力势能的变化量不相同 | D、重力做功的平均功率不相同 |