ÌâÄ¿ÄÚÈÝ
ÈçͼËùʾ£¬Ôڹ⻬ˮƽ×ÀÃæÉÏ·ÅÓг¤Ä¾°åC£¬CµÄÓÒ¶ËÓй̶¨µ²°åP£¬Ä¾°åCµÄ³¤¶ÈΪ2L£®ÁíÓÐСÎï¿éAºÍB¿ÉÒÔÔÚ³¤Ä¾°åÉÏ»¬¶¯£¬A¡¢CÖ®¼äºÍB¡¢CÖ®¼äµÄ¶¯Ä¦²ÁÒòÊýÏàͬ£¬A¡¢CÖ®¼äºÍB¡¢CÖ®¼äµÄ×î´ó¾²Ä¦²ÁÁ¦µÈÓÚ»¬¶¯Ä¦²ÁÁ¦£®A¡¢BµÄ³ß´çÒÔ¼°PµÄºñ¶È½Ô¿ÉºöÂÔ²»¼Æ£¬A¡¢B¡¢C£¨Á¬Í¬µ²°åP£©µÄÖÊÁ¿½ÔΪm£®£¨1£©ÈôC±»¹Ì¶¨ÔÚ×ÀÃæÉÏ£¬B¾²Ö¹·ÅÔÚľ°åCµÄÖÐÑ룬AÒÔ³õËÙ¶Èv£®´Ó×ó¶Ë³åÉÏľ°åC£¬Îï¿éA¸ÕºÃÄÜÅöµ½B£¬ÇóA¡¢CÖ®¼äµÄ¶¯Ä¦²ÁÒòÊý£®
£¨2£©ÈôCδ±»¹Ì¶¨ÔÚ×ÀÃæÉÏ£¬¿ªÊ¼Ê±B¾²Ö¹·ÅÔÚľ°åCµÄÖÐÑ룬AÒÔ³õËÙ¶Èv'´Ó×ó¶Ë³åÉÏľ°åC£®
a£®ÒªÊ¹Îï¿éAÓëBÄÜÏàÅö£¬³õËÙ¶Èv'Ó¦Âú×ãµÄÌõ¼þÊÇʲô£¿
b£®ÈôÎï¿éAÓëB·¢ÉúÅöײ¹ý³ÌµÄʱ¼ä¼«¶Ì£¬ÇÒÅöײ¹ý³ÌÖÐûÓлúеÄÜËðʧ£¬ÒªÊ¹Îï¿éBÄܹ»Óëµ²°åP·¢ÉúÅöײ£¬³õËÙ¶Èv'Ó¦Âú×ãµÄÌõ¼þÊÇʲô£¿
¡¾´ð°¸¡¿·ÖÎö£º£¨1£©Ä¾°åC¹Ì¶¨£¬A´Ó×ó¶Ë³åÉÏľ°åC£¬¸ÕºÃÄÜÅöµ½B£¬¶Ô¸Ã¹ý³ÌÔËÓö¯Äܶ¨Àí£¬Çó³öA¡¢C¼äµÄ¶¯Ä¦²ÁÒòÊý£®
£¨2£©a¡¢ÈôCδ±»¹Ì¶¨ÔÚ×ÀÃæÉÏ£¬¿ªÊ¼Ê±B¾²Ö¹·ÅÔÚľ°åCµÄÖÐÑ룬AÒÔ³õËÙ¶Èv'´Ó×ó¶Ë³åÉÏľ°åC£®Ä¾¿éA×öÔȼõËÙÖ±ÏßÔ˶¯£¬Ä¾°åBºÍľ¿éCÒ»Æð×öÔȼÓËÙÖ±ÏßÔ˶¯£¬Á½ÕßÇ¡ºÃÏàÅöʱ£¬ËÙ¶ÈÏàµÈ£¬½áºÏ¶¯Á¿Êغ㶨ÂɺÍÄÜÁ¿Êغ㶨ÂÉÒÔ¼°¶¯Äܶ¨ÀíÇó³ö³õËÙ¶Èv'Ó¦Âú×ãµÄÌõ¼þ£®
b¡¢ÈôÎï¿éAÓëB·¢ÉúÅöײ¹ý³ÌµÄʱ¼ä¼«¶Ì£¬ÇÒÅöײ¹ý³ÌÖÐûÓлúеÄÜËðʧ£¬AÓëB×é³ÉµÄϵͳ¶¯Á¿Êغ㣬ÒòΪA¡¢B¼äÅöײ¹ý³ÌÖÐûÓÐÄÜÁ¿Ëðʧ£¬ÖÊÁ¿ÓÖÏàµÈ£¬ÔòA¡¢BÅöײǰºó½»»»ËÙ¶È£®ÒªÊ¹Îï¿éBÄܹ»Óëµ²°åP·¢ÉúÅöײ£¬×¥×¡ÁÙ½çÇé¿ö£¬BÓëPÏàײʱ¾ßÓÐÏàͬËÙ¶È£¬½áºÏ¶¯Á¿Êغ㶨ÂÉ¡¢ÄÜÁ¿Êغ㶨ÂÉÇó³ö³õËÙ¶Èv'Ó¦Âú×ãµÄÌõ¼þ£®
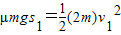
½â´ð£º½â£º£¨1£©Ä¾°åC¹Ì¶¨£¬A´Ó×ó¶Ë³åÉÏľ°åC£¬¸ÕºÃÄÜÅöµ½B£¬¸ù¾Ý¶¯Äܶ¨ÀíµÃ£¬

½âµÃ
£®
£¨2£©a¡¢Ä¾°åC²»¹Ì¶¨£¬µ±Îï¿éAÒÔ³õËٶȳåÉÏľ°åÇÒÏòÓÒÔ˶¯Ê±£¬AÊܵ½Ä¾°åCÊ©¼ÓµÄ´óСΪ¦ÌmgµÄ»¬¶¯Ä¦²ÁÁ¦¶ø¼õËÙ£®Ä¾°åCÊܵ½AÊ©¼ÓµÄ´óСΪ¦ÌmgµÄ·½ÏòÏòÓҵϬ¶¯Ä¦²ÁÁ¦£®
¼ÙÉèB¡¢C¼äÓÐÏà¶ÔÔ˶¯£¬ÔòB¶ÔCÓ묶¯Ä¦²ÁÁ¦£¬´óСΪ¦Ìmg£¬·½ÏòÏò×ó£¬ÄÇôCÔÚA¶ÔCÏòÓҵϬ¶¯Ä¦²ÁÁ¦ºÍB¶ÔCµÄÏò×óµÄĦ²ÁÁ¦¹²Í¬×÷ÓÃÏ£¬Ó¦¾²Ö¹£¬ÏÔÈ»²»·ûºÏʵ¼Ê£®BÔÚCµÄ¾²Ä¦²ÁÁ¦×÷ÓÃÏ£¬ºÍCÒ»ÆðÏòÓÒ¼ÓËÙ£®
ÈôAÓëB¸ÕºÃ²»ÄÜÏàÅö£¬¼´A»¬¶¯Ä¾°åCµÄÖÐÑ룬ÓëB¸ÕºÃ½Ó´¥ÇÒËÙ¶ÈÏàͬ£¬ÉèΪv1£¬
¸ù¾Ý¶¯Á¿Êغ㶨ÂÉÓУºmv¡ä=3mv1
Ôڴ˹ý³ÌÖУ¬Éèľ°åCÏòÓÒÔ˶¯µÄÎ»ÒÆÎªs1£¬ÔòÎï¿éAÔ˶¯µÄÎ»ÒÆÎªs1+L£®
Óɶ¯Äܶ¨ÀíÓУº
¡ä2£®
¿ÉµÃ£º
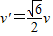
ÁªÁ¢½âµÃ
£®
Îï¿éAÓëBÏàÅöµÄÌõ¼þÊÇ
£®
b¡¢µ±Îï¿éAµÄ³õËÙ¶È×ã¹»´ó£¬AÓëBÄÜ·¢ÉúÅöײ£¬ÉèÅöײǰ˲¼äA¡¢B¡¢CÈýÕßµÄËÙ¶È·Ö±ðΪvA¡¢vB¡¢vC£¬ÓÐvA£¾vB£¬vB=vC
AÓëBÅöײµÄʱ¼ä¼«¶Ì£¬Åöײ¹ý³ÌÖУ¬AÓëB×é³ÉµÄϵͳ¶¯Á¿Êغ㣬ÒòΪA¡¢B¼äÅöײ¹ý³ÌÖÐûÓÐÄÜÁ¿Ëðʧ£¬ÖÊÁ¿ÓÖÏàµÈ£¬ÔòA¡¢BÅöײǰºó½»»»ËÙ¶È£¬Åöײºó˲¼ä£¬A¡¢B¡¢CÈýÕßµÄËÙ¶È·Ö±ðΪvA¡ä¡¢vB¡ä¡¢vC¡ä£¬ÓУº
vB¡ä=vA£¬vA¡ä=vB£¬vC¡ä=vC£®
ÕâÑùAÓëCËÙ¶ÈÏàµÈ£¬¶þÕß±£³ÖÏà¶Ô¾²Ö¹£®vB¡ä£¾vA¡ä£¨=vC¡ä£©£¬BÔÚCÉϼÌÐøÏòÓÒ»¬¶¯£¬BµÄËÙ¶ÈÖð½¥¼õС£¬CÓëAµÄËÙ¶ÈÖð½¥Ôö´ó£®
ÈôÎï¿éB¸ÕºÃÓëµ²°åP²»·¢ÉúÅöײ£¬Ò²¾ÍÊÇ˵BÒÔËÙ¶ÈvB¡ä´ÓCµÄÖÐÑ뻬¶¯µ½µ²°åP´¦Ê±£¬BÓëC£¨°üÀ¨A£©µÄËٶȱäΪÏàͬ£¬ÉèΪv2£¬Óɶ¯Á¿Êغ㶨Âɵã¬
mv¡ä=3mv2 ¢Ù
AÒÔ³õËÙ¶Èv¡ä³åÉÏC£¬ÓëB·¢ÉúÅöײºó£¬A¡¢CÏà¶Ô¾²Ö¹£¬Bµ½´ïP´¦ÕâÒ»¹ý³ÌÖУ¬A¡¢BºÍC×é³ÉµÄϵͳÏ໥×÷ÓõŦÄܹØÏµÓУº
¢Ú
ÓÉ¢Ù¢ÚÁ½Ê½¿ÉµÃ
Óɵڣ¨1£©ÎÊÖª£¬
£®
Îï¿éBÓëPÄÜÏàÅöµÄÌõ¼þÊÇ
£®
´ð£º£¨1£©A¡¢CÖ®¼äµÄ¶¯Ä¦²ÁÒòÊý
£®
£¨2£©a£®ÒªÊ¹Îï¿éAÓëBÄÜÏàÅö£¬³õËÙ¶Èv'Ó¦Âú×ãµÄÌõ¼þÊÇ
£®
b¡¢ÒªÊ¹Îï¿éBÄܹ»Óëµ²°åP·¢ÉúÅöײ£¬³õËÙ¶Èv'Ó¦Âú×ãµÄÌõ¼þÊÇ
£®
µãÆÀ£º±¾Ìâ×ۺϿ¼²éÁ˶¯Äܶ¨Àí¡¢¶¯Á¿Êغ㶨ÂɺÍÄÜÁ¿Êغ㶨ÂÉ£¬×ÛºÏÐÔÇ¿£¬¶ÔѧÉúµÄÄÜÁ¦ÒªÇó½Ï¸ß£¬¹Ø¼üÐèÀíÇå¹ý³Ì£¬×¥×¡ÁÙ½ç״̬£¬ÔËÓúÏÊʵĹæÂɽøÐÐÇó½â£®
£¨2£©a¡¢ÈôCδ±»¹Ì¶¨ÔÚ×ÀÃæÉÏ£¬¿ªÊ¼Ê±B¾²Ö¹·ÅÔÚľ°åCµÄÖÐÑ룬AÒÔ³õËÙ¶Èv'´Ó×ó¶Ë³åÉÏľ°åC£®Ä¾¿éA×öÔȼõËÙÖ±ÏßÔ˶¯£¬Ä¾°åBºÍľ¿éCÒ»Æð×öÔȼÓËÙÖ±ÏßÔ˶¯£¬Á½ÕßÇ¡ºÃÏàÅöʱ£¬ËÙ¶ÈÏàµÈ£¬½áºÏ¶¯Á¿Êغ㶨ÂɺÍÄÜÁ¿Êغ㶨ÂÉÒÔ¼°¶¯Äܶ¨ÀíÇó³ö³õËÙ¶Èv'Ó¦Âú×ãµÄÌõ¼þ£®
b¡¢ÈôÎï¿éAÓëB·¢ÉúÅöײ¹ý³ÌµÄʱ¼ä¼«¶Ì£¬ÇÒÅöײ¹ý³ÌÖÐûÓлúеÄÜËðʧ£¬AÓëB×é³ÉµÄϵͳ¶¯Á¿Êغ㣬ÒòΪA¡¢B¼äÅöײ¹ý³ÌÖÐûÓÐÄÜÁ¿Ëðʧ£¬ÖÊÁ¿ÓÖÏàµÈ£¬ÔòA¡¢BÅöײǰºó½»»»ËÙ¶È£®ÒªÊ¹Îï¿éBÄܹ»Óëµ²°åP·¢ÉúÅöײ£¬×¥×¡ÁÙ½çÇé¿ö£¬BÓëPÏàײʱ¾ßÓÐÏàͬËÙ¶È£¬½áºÏ¶¯Á¿Êغ㶨ÂÉ¡¢ÄÜÁ¿Êغ㶨ÂÉÇó³ö³õËÙ¶Èv'Ó¦Âú×ãµÄÌõ¼þ£®
½â´ð£º½â£º£¨1£©Ä¾°åC¹Ì¶¨£¬A´Ó×ó¶Ë³åÉÏľ°åC£¬¸ÕºÃÄÜÅöµ½B£¬¸ù¾Ý¶¯Äܶ¨ÀíµÃ£¬
½âµÃ
£¨2£©a¡¢Ä¾°åC²»¹Ì¶¨£¬µ±Îï¿éAÒÔ³õËٶȳåÉÏľ°åÇÒÏòÓÒÔ˶¯Ê±£¬AÊܵ½Ä¾°åCÊ©¼ÓµÄ´óСΪ¦ÌmgµÄ»¬¶¯Ä¦²ÁÁ¦¶ø¼õËÙ£®Ä¾°åCÊܵ½AÊ©¼ÓµÄ´óСΪ¦ÌmgµÄ·½ÏòÏòÓҵϬ¶¯Ä¦²ÁÁ¦£®
¼ÙÉèB¡¢C¼äÓÐÏà¶ÔÔ˶¯£¬ÔòB¶ÔCÓ묶¯Ä¦²ÁÁ¦£¬´óСΪ¦Ìmg£¬·½ÏòÏò×ó£¬ÄÇôCÔÚA¶ÔCÏòÓҵϬ¶¯Ä¦²ÁÁ¦ºÍB¶ÔCµÄÏò×óµÄĦ²ÁÁ¦¹²Í¬×÷ÓÃÏ£¬Ó¦¾²Ö¹£¬ÏÔÈ»²»·ûºÏʵ¼Ê£®BÔÚCµÄ¾²Ä¦²ÁÁ¦×÷ÓÃÏ£¬ºÍCÒ»ÆðÏòÓÒ¼ÓËÙ£®
ÈôAÓëB¸ÕºÃ²»ÄÜÏàÅö£¬¼´A»¬¶¯Ä¾°åCµÄÖÐÑ룬ÓëB¸ÕºÃ½Ó´¥ÇÒËÙ¶ÈÏàͬ£¬ÉèΪv1£¬
¸ù¾Ý¶¯Á¿Êغ㶨ÂÉÓУºmv¡ä=3mv1
Ôڴ˹ý³ÌÖУ¬Éèľ°åCÏòÓÒÔ˶¯µÄÎ»ÒÆÎªs1£¬ÔòÎï¿éAÔ˶¯µÄÎ»ÒÆÎªs1+L£®
Óɶ¯Äܶ¨ÀíÓУº
¿ÉµÃ£º
ÁªÁ¢½âµÃ
Îï¿éAÓëBÏàÅöµÄÌõ¼þÊÇ
b¡¢µ±Îï¿éAµÄ³õËÙ¶È×ã¹»´ó£¬AÓëBÄÜ·¢ÉúÅöײ£¬ÉèÅöײǰ˲¼äA¡¢B¡¢CÈýÕßµÄËÙ¶È·Ö±ðΪvA¡¢vB¡¢vC£¬ÓÐvA£¾vB£¬vB=vC
AÓëBÅöײµÄʱ¼ä¼«¶Ì£¬Åöײ¹ý³ÌÖУ¬AÓëB×é³ÉµÄϵͳ¶¯Á¿Êغ㣬ÒòΪA¡¢B¼äÅöײ¹ý³ÌÖÐûÓÐÄÜÁ¿Ëðʧ£¬ÖÊÁ¿ÓÖÏàµÈ£¬ÔòA¡¢BÅöײǰºó½»»»ËÙ¶È£¬Åöײºó˲¼ä£¬A¡¢B¡¢CÈýÕßµÄËÙ¶È·Ö±ðΪvA¡ä¡¢vB¡ä¡¢vC¡ä£¬ÓУº
vB¡ä=vA£¬vA¡ä=vB£¬vC¡ä=vC£®
ÕâÑùAÓëCËÙ¶ÈÏàµÈ£¬¶þÕß±£³ÖÏà¶Ô¾²Ö¹£®vB¡ä£¾vA¡ä£¨=vC¡ä£©£¬BÔÚCÉϼÌÐøÏòÓÒ»¬¶¯£¬BµÄËÙ¶ÈÖð½¥¼õС£¬CÓëAµÄËÙ¶ÈÖð½¥Ôö´ó£®
ÈôÎï¿éB¸ÕºÃÓëµ²°åP²»·¢ÉúÅöײ£¬Ò²¾ÍÊÇ˵BÒÔËÙ¶ÈvB¡ä´ÓCµÄÖÐÑ뻬¶¯µ½µ²°åP´¦Ê±£¬BÓëC£¨°üÀ¨A£©µÄËٶȱäΪÏàͬ£¬ÉèΪv2£¬Óɶ¯Á¿Êغ㶨Âɵã¬
mv¡ä=3mv2 ¢Ù
AÒÔ³õËÙ¶Èv¡ä³åÉÏC£¬ÓëB·¢ÉúÅöײºó£¬A¡¢CÏà¶Ô¾²Ö¹£¬Bµ½´ïP´¦ÕâÒ»¹ý³ÌÖУ¬A¡¢BºÍC×é³ÉµÄϵͳÏ໥×÷ÓõŦÄܹØÏµÓУº
ÓÉ¢Ù¢ÚÁ½Ê½¿ÉµÃ
Óɵڣ¨1£©ÎÊÖª£¬
Îï¿éBÓëPÄÜÏàÅöµÄÌõ¼þÊÇ
´ð£º£¨1£©A¡¢CÖ®¼äµÄ¶¯Ä¦²ÁÒòÊý
£¨2£©a£®ÒªÊ¹Îï¿éAÓëBÄÜÏàÅö£¬³õËÙ¶Èv'Ó¦Âú×ãµÄÌõ¼þÊÇ
b¡¢ÒªÊ¹Îï¿éBÄܹ»Óëµ²°åP·¢ÉúÅöײ£¬³õËÙ¶Èv'Ó¦Âú×ãµÄÌõ¼þÊÇ
µãÆÀ£º±¾Ìâ×ۺϿ¼²éÁ˶¯Äܶ¨Àí¡¢¶¯Á¿Êغ㶨ÂɺÍÄÜÁ¿Êغ㶨ÂÉ£¬×ÛºÏÐÔÇ¿£¬¶ÔѧÉúµÄÄÜÁ¦ÒªÇó½Ï¸ß£¬¹Ø¼üÐèÀíÇå¹ý³Ì£¬×¥×¡ÁÙ½ç״̬£¬ÔËÓúÏÊʵĹæÂɽøÐÐÇó½â£®
Á·Ï°²áϵÁдð°¸
Ïà¹ØÌâÄ¿