ÌâÄ¿ÄÚÈÝ
£¨1£©ËÙ¶È×î´óµÄÁ£×Ó×ÔOµãÉäÈë´Å³¡ÖÁ·µ»ØË®Æ½ÏßPOQËùÓõÄʱ¼ä£®
£¨2£©´Å³¡ÇøÓòµÄ×îÐ¡Ãæ»ý£®
£¨3£©¸ù¾ÝÄãÒÔÉϵļÆËã¿ÉÇó³öÁ£×ÓÉäµ½PQÉϵÄ×îÔ¶µãÀëOµÄ¾àÀ룬Çëд³ö¸Ã¾àÀëµÄ´óС£¨Ö»ÒªÐ´³ö×îÔ¶¾àÀëµÄ×îÖÕ½á¹û£¬²»ÒªÇóд³ö½âÌâ¹ý³Ì£©
¡¾´ð°¸¡¿·ÖÎö£º£¨1£©¸ù¾ÝÌâÉèÌõ¼þ»³öÁ£×ÓÔ˶¯µÄ¹ì¼££¬¸ù¾Ý¹ìµÀÖª£¬Á£×Ó¾ÀúÈý¸öÔ˶¯£¬´Å³¡ÖеÄÔÈËÙÔ²ÖÜÔ˶¯¡¢À뿪´Å³¡ºóµÄÔÈËÙÖ±ÏßÔ˶¯ºÍ½øÈëµç³¡ºóµÄÀàÆ½Å×Ô˶¯£¬¸ù¾ÝÌâÉèÌõ¼þ·ÖÈý¶Î·Ö±ðÀûÓÃÔ˶¯¹æÂÉÇó½âÁ£×ÓÔ˶¯µÄʱ¼ä¼´¿É£»
£¨2£©¸ù¾ÝÌâÄ¿Ìõ¼þ£¬´Å³¡ÇøÓòÖ»ÐèÒª´æÔÚÓÚÁ£×Ó·¢ÉúƫתµÄ¹ý³ÌÖУ¬×÷³ö²»Í¬ËÙ¶ÈÁ£×ӵį«Çé¿ö£¬Çó³öÂú×ãÌõ¼þµÄ´Å³¡ÇøÓò¼´¿É£»
£¨3£©·ÖÈý¶ÎÇóPO¼äµÄ¾àÀ룬ԲÖÜÔ˶¯²¿·Ö¡¢ÔÈËÙÔ˶¯²¿·ÖºÍÀàÆ½Å×Ô˶¯²¿·Ö£®
½â´ð£º½â£º£¨1£©Á£×ÓµÄÔ˶¯¹ì¼£ÈçͼËùʾ£¬ÉèÁ£×ÓÔÚÔÈÇ¿´Å³¡ÖÐ×öÔÈËÙÔ²ÖÜÔ˶¯µÄ°ë¾¶ÎªR£¬ÖÜÆÚΪT£¬Á£×ÓÔÚÔÈÇ¿´Å³¡ÖÐÔ˶¯Ê±¼äΪt1

Ôò
¼´


×î´óËÙ¶ÈvmµÄÁ£×Ó×ÔNµãˮƽ·É³ö´Å³¡£¬³ö´Å³¡ºó×öÔÈËÙÔ˶¯ÖÁOM£¬ÉèÔÈËÙÔ˶¯µÄʱ¼äΪt2£¬ÓУº
¹ýMOºóÁ£×Ó×öÀàÆ½Å×Ô˶¯£¬ÉèÔ˶¯µÄʱ¼äΪt3£¬Ôò£º
ÓÖÓÉÌâÖª×î´óËÙ¶Èvm=
ÔòËÙ¶È×î´óµÄÁ£×Ó×ÔO½øÈë´Å³¡ÖÁÖØ»ØË®Æ½ÏßPOQËùÓõÄʱ¼ät=t1+t2+t3
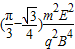
½âÒÔÉϸ÷ʽµÃ£ºt=
£¨2£©£¨6·Ö£©ÓÉÌâÖªËÙ¶È´óС²»Í¬µÄÁ£×Ó¾ùҪˮƽͨ¹ýOM£¬ÔòÆä·É³ö´Å³¡µÄλÖþùÓ¦ÔÚONµÄÁ¬ÏßÉÏ£¬¹Ê´Å³¡·¶Î§µÄ×îÐ¡Ãæ»ý¡÷SÊÇËÙ¶È×î´óµÄÁ£×ÓÔڴų¡ÖеĹ켣ÓëONËùΧ³ÉµÄÃæ»ý£®

ÉÈÐÎOO'NµÄÃæ»ý
¡÷OO'NµÄÃæ»ýΪ£º
ÓÖ¡÷S=S-S'£¨1·Ö£©
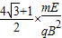
ÁªÁ¢µÃ£º¡÷S=
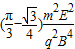
£¨3£©Á£×ÓÉäµ½PQÉϵÄ×îÔ¶µãÀëOµÄ¾àÀëd=
£®£¨ÓÉ·ÖÎöÖª£¬×îÔ¶¾àÀë·ÖÈý¶ÎÇó£¬Ô²ÖÜÔ˶¯²¿·Ö£¬ÔÈËÙÔ˶¯²¿·ÖºÍÀàÆ½Å×Ô˶¯²¿·Ö£©
´ð£º£¨1£©ËÙ¶È×î´óµÄÁ£×Ó×ÔOµãÉäÈë´Å³¡ÖÁ·µ»ØË®Æ½ÏßPOQËùÓõÄʱ¼äΪ
£®
£¨2£©´Å³¡ÇøÓòµÄ×îÐ¡Ãæ»ýΪ
£®
£¨3£©¸ù¾ÝÄãÒÔÉϵļÆËã¿ÉÇó³öÁ£×ÓÉäµ½PQÉϵÄ×îÔ¶µãÀëOµÄ¾àÀ룬¸Ã¾àÀëµÄ´óС
µãÆÀ£º±¾Ì⿼²é´øµçÁ£×ÓÔڴų¡ÖÐ×öÔÈËÙÔ²ÖÜÔ˶¯ºÍÔڵ糡ÖÐ×öÀàÆ½Å×Ô˶¯µÄ֪ʶ£¬¶ÔѧÉú¼¸ºÎÄÜÁ¦ÒªÇó½Ï¸ß£®
£¨2£©¸ù¾ÝÌâÄ¿Ìõ¼þ£¬´Å³¡ÇøÓòÖ»ÐèÒª´æÔÚÓÚÁ£×Ó·¢ÉúƫתµÄ¹ý³ÌÖУ¬×÷³ö²»Í¬ËÙ¶ÈÁ£×ӵį«Çé¿ö£¬Çó³öÂú×ãÌõ¼þµÄ´Å³¡ÇøÓò¼´¿É£»
£¨3£©·ÖÈý¶ÎÇóPO¼äµÄ¾àÀ룬ԲÖÜÔ˶¯²¿·Ö¡¢ÔÈËÙÔ˶¯²¿·ÖºÍÀàÆ½Å×Ô˶¯²¿·Ö£®
½â´ð£º½â£º£¨1£©Á£×ÓµÄÔ˶¯¹ì¼£ÈçͼËùʾ£¬ÉèÁ£×ÓÔÚÔÈÇ¿´Å³¡ÖÐ×öÔÈËÙÔ²ÖÜÔ˶¯µÄ°ë¾¶ÎªR£¬ÖÜÆÚΪT£¬Á£×ÓÔÚÔÈÇ¿´Å³¡ÖÐÔ˶¯Ê±¼äΪt1
Ôò
×î´óËÙ¶ÈvmµÄÁ£×Ó×ÔNµãˮƽ·É³ö´Å³¡£¬³ö´Å³¡ºó×öÔÈËÙÔ˶¯ÖÁOM£¬ÉèÔÈËÙÔ˶¯µÄʱ¼äΪt2£¬ÓУº
¹ýMOºóÁ£×Ó×öÀàÆ½Å×Ô˶¯£¬ÉèÔ˶¯µÄʱ¼äΪt3£¬Ôò£º
ÓÖÓÉÌâÖª×î´óËÙ¶Èvm=
ÔòËÙ¶È×î´óµÄÁ£×Ó×ÔO½øÈë´Å³¡ÖÁÖØ»ØË®Æ½ÏßPOQËùÓõÄʱ¼ät=t1+t2+t3
½âÒÔÉϸ÷ʽµÃ£ºt=
£¨2£©£¨6·Ö£©ÓÉÌâÖªËÙ¶È´óС²»Í¬µÄÁ£×Ó¾ùҪˮƽͨ¹ýOM£¬ÔòÆä·É³ö´Å³¡µÄλÖþùÓ¦ÔÚONµÄÁ¬ÏßÉÏ£¬¹Ê´Å³¡·¶Î§µÄ×îÐ¡Ãæ»ý¡÷SÊÇËÙ¶È×î´óµÄÁ£×ÓÔڴų¡ÖеĹ켣ÓëONËùΧ³ÉµÄÃæ»ý£®
ÉÈÐÎOO'NµÄÃæ»ý
¡÷OO'NµÄÃæ»ýΪ£º
ÓÖ¡÷S=S-S'£¨1·Ö£©
ÁªÁ¢µÃ£º¡÷S=
£¨3£©Á£×ÓÉäµ½PQÉϵÄ×îÔ¶µãÀëOµÄ¾àÀëd=
´ð£º£¨1£©ËÙ¶È×î´óµÄÁ£×Ó×ÔOµãÉäÈë´Å³¡ÖÁ·µ»ØË®Æ½ÏßPOQËùÓõÄʱ¼äΪ
£¨2£©´Å³¡ÇøÓòµÄ×îÐ¡Ãæ»ýΪ
£¨3£©¸ù¾ÝÄãÒÔÉϵļÆËã¿ÉÇó³öÁ£×ÓÉäµ½PQÉϵÄ×îÔ¶µãÀëOµÄ¾àÀ룬¸Ã¾àÀëµÄ´óС
µãÆÀ£º±¾Ì⿼²é´øµçÁ£×ÓÔڴų¡ÖÐ×öÔÈËÙÔ²ÖÜÔ˶¯ºÍÔڵ糡ÖÐ×öÀàÆ½Å×Ô˶¯µÄ֪ʶ£¬¶ÔѧÉú¼¸ºÎÄÜÁ¦ÒªÇó½Ï¸ß£®
Á·Ï°²áϵÁдð°¸
Ïà¹ØÌâÄ¿