题目内容
假设地球是一半径为R,质量分布均匀的球体。已知质量分布均匀的球壳对壳内物体引力为零,地球表面处引力加速度为g。则关于地球引力加速度a随地球球心到某点距离r的变化图像正确的是( )
![]()
【答案】
B
【解析】
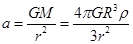
试题分析:设地球的密度为ρ,当物体处于地心时,所受万有引力为零,加速度为零;当距地心距离为
时,只有半径为r的球体对其产生万有引力,根据
得:
,解得
,即加速度a与r成正比,由此可判断选项B正确;当
时,由
得
,加速度a与r的平方成反比,故选项B正确.
考点:解答本题关键要理解题目中“已知质量分布均匀的球壳对壳内物体引力为零”的含义,进而结合万有引力公式求解.
练习册系列答案
相关题目
假设地球是一半径为R、质量分布均匀的球体.已知质量分布均匀的球壳对壳内物体的引力为零.则距地心距离为
处和地面处的重力加速度大小之比为( )
| R |
| 2 |
| A、2:1 | B、1:2 |
| C、4:1 | D、1:4 |