题目内容
磁悬浮列车是一种高速运载工具,它由两个系统组成.一是悬浮系统,利用磁力使车体在轨道上悬浮起来从而减小阻力.另一是驱动系统,即利用磁场与固定在车体下部的感应金属线圈相互作用,使车体获得牵引力,图22就是这种磁悬浮列车电磁驱动装置的原理示意图.即在水平面上有两根很长的平行轨道PQ和MN,轨道间有垂直轨道平面的匀强磁场B1和B2,且B1和B2的方向相反,大小相等,即B1=B2=B.列车底部固定着绕有N匝闭合的矩形金属线圈abcd(列车的车厢在图中未画出),车厢与线圈绝缘.两轨道间距及线圈垂直轨道的ab边长均为L,两磁场的宽度均与线圈的ad边长相同.当两磁场Bl和B2同时沿轨道方向向右运动时,线圈会受到向右的磁场力,带动列车沿导轨运动.已知列车车厢及线圈的总质量为M,整个线圈的总电阻为R.(1)假设用两磁场同时水平向右以速度v作匀速运动来起动列车,为使列车能随磁场运动,列车所受的阻力大小应满足的条件;
(2)设列车所受阻力大小恒为f,假如使列车水平向右以速度v做匀速运动,求维持列车运动外界在单位时间内需提供的总能量;
(3)设列车所受阻力大小恒为f,假如用两磁场由静止开始向右做匀加速运动来起动列车,当两磁场运动的时间为t1时,列车正在向右做匀加速直线运动,此时列车的速度为v1,求两磁场开始运动到列车开始运动所需要的时间t.
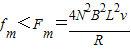
【答案】分析:(1)以磁场为参考系,列车向左切割磁场,两条边均产生感应电动势,当列车静止时,相对速度最大,产的感应电动势最大,感应电流最大,所受的安培力最大,为使列车能随磁场运动,列车所受的阻力大小应小于线框所受的安培力.
(2)列车水平向右以速度v做匀速运动时,相对于磁场向左运动,线框所受的安培力与阻力大小相等,根据受力平衡,求出电流I,再根据能量守恒定律E=I2R+fv求出单位时间内需提供的总能量.
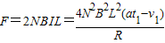
(3)为实现列车最终沿水平方向做匀加速直线运动,其加速度必须与两磁场由静止开始做匀加速直线运动的加速度相同,t1时刻金属线圈中的电动势 E=2NBL(at1-v1),根据所受的安培力,结合牛顿第二定律求出列车最终的加速度.
从磁场运动到列车起动需要时间为t,t时刻金属线圈中的电动势E=2NBLat,当t时刻时安培力增大到与阻力相等,根据安培力等于阻力求出t.
解答:解:(1)列车静止时,电流最大,列车受到的电磁驱动力最大设为Fm,此时,线框中产生的感应电动势
E1=2NBLv
线框中的电流 I1=
整个线框受到的安培力 Fm=2NBI1L
列车所受阻力大小为
(2)当列车以速度v匀速运动时,两磁场水平向右运动的速度为v′,金属框中感应电动势E=2NBL(v'-v)
金属框中感应电流
又因为 F=2NBIL=f
求得
当列车匀速运动时,金属框中的热功率为 P1=I2R
克服阻力的功率为 P2=fv
所以可求得外界在单位时间内需提供的总能量为
E=I2R+fv=
(3)根据题意分析可得,为实现列车最终沿水平方向做匀加速直线运动,其加速度必须与两磁场由静止开始做匀加速直线运动的加速度相同,设加速度为a,则t1时刻金属线圈中的电动势
E=2NBL(at1-v1)
金属框中感应电流
又因为安培力
所以对列车,由牛顿第二定律得
解得
设从磁场运动到列车起动需要时间为t,则t时刻金属线圈中的电动势 E=2NBLat
金属框中感应电流
又因为安培力
所以对列车,由牛顿第二定律得
解得
.
点评:解决本题的关键以磁场为参考系,线圈做切割磁感线运动,产生感应电流,从而受到安培力,在安培力和阻力的作用下运动.
(2)列车水平向右以速度v做匀速运动时,相对于磁场向左运动,线框所受的安培力与阻力大小相等,根据受力平衡,求出电流I,再根据能量守恒定律E=I2R+fv求出单位时间内需提供的总能量.
(3)为实现列车最终沿水平方向做匀加速直线运动,其加速度必须与两磁场由静止开始做匀加速直线运动的加速度相同,t1时刻金属线圈中的电动势 E=2NBL(at1-v1),根据所受的安培力,结合牛顿第二定律求出列车最终的加速度.
从磁场运动到列车起动需要时间为t,t时刻金属线圈中的电动势E=2NBLat,当t时刻时安培力增大到与阻力相等,根据安培力等于阻力求出t.
解答:解:(1)列车静止时,电流最大,列车受到的电磁驱动力最大设为Fm,此时,线框中产生的感应电动势
E1=2NBLv
线框中的电流 I1=
整个线框受到的安培力 Fm=2NBI1L
列车所受阻力大小为
(2)当列车以速度v匀速运动时,两磁场水平向右运动的速度为v′,金属框中感应电动势E=2NBL(v'-v)
金属框中感应电流
又因为 F=2NBIL=f
求得
当列车匀速运动时,金属框中的热功率为 P1=I2R
克服阻力的功率为 P2=fv
所以可求得外界在单位时间内需提供的总能量为
E=I2R+fv=
(3)根据题意分析可得,为实现列车最终沿水平方向做匀加速直线运动,其加速度必须与两磁场由静止开始做匀加速直线运动的加速度相同,设加速度为a,则t1时刻金属线圈中的电动势
E=2NBL(at1-v1)
金属框中感应电流
又因为安培力
所以对列车,由牛顿第二定律得
解得
设从磁场运动到列车起动需要时间为t,则t时刻金属线圈中的电动势 E=2NBLat
金属框中感应电流
又因为安培力
所以对列车,由牛顿第二定律得
解得
点评:解决本题的关键以磁场为参考系,线圈做切割磁感线运动,产生感应电流,从而受到安培力,在安培力和阻力的作用下运动.
练习册系列答案
相关题目