题目内容

一个从静止开始做匀加速直线运动的物体,从开始运动起,连续通过三段位移的时间分别是1 s、2 s、3 s,这三段位移的长度之比和这三段位移上的平均速度之比分别是(  )

A.           B.

C.             D.

 

【答案】

B

【解析】

试题分析:根据可得

物体通过的第一段位移为

又前3s的位移减去前1s的位移就等于第二段的位移

故物体通过的第二段位移为

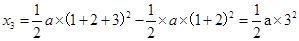
又前6s的位移减去前3s的位移就等于第三段的位移

故物体通过的第三段位移为

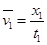
在第一段位移的平均速度

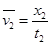
在第二段位移的平均速度

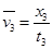
在第三段位移的平均速度

故选B.

考点:匀变速直线运动规律的综合运用;

点评:本题求解第二段和第三段位移的方法十分重要,要注意学习和积累,并能灵活应用.

 

练习册系列答案
相关题目

违法和不良信息举报电话:027-86699610 举报邮箱:58377363@163.com

精英家教网