题目内容

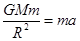
英国《新科学家(New Scientist)》杂志评选出了2008年度世界8项科学之最,在XTEJ1650-500双星系统中发现的最小黑洞位列其中,若某黑洞的半径约45km,质量和半径的关系满足(其中为光速,为引力常量),则该黑洞表面重力加速度的数量级为 (      )

A.     B.    C.       D.

 

【答案】

C

【解析】

试题分析:由可知:,故选项C正确.

考点:本题利用求解星球表面的重力加速度.

 

练习册系列答案
相关题目

违法和不良信息举报电话:027-86699610 举报邮箱:58377363@163.com

精英家教网