题目内容
某高速公路自动测速仪装置如图1所示,雷达向汽车驶来方向发射不连续的电磁波,每次发射时间约为百万分之一秒,两次发射时间间隔为t.当雷达向汽车发射无线电波时,在指示器荧光屏上呈现出一个尖波形;在收到反射回来的无线电波时,在荧光屏上呈现第二个尖形波.根据两个波的距离,可以计算出汽车距雷达距离,根据自动打下的纸带如图2所示,可求出该汽车的车速,请根据给出的t1、t2、t、c求出汽车车速表达式 .
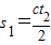
【答案】分析:电磁波在真空中传播的速度等于光速c,第一次发射电磁波,知汽车距离雷达的距离为
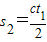
,第二次发射电磁波,知汽车距离雷达的距离为
,根据汽车通过的位移和时间求出汽车的速度.
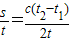
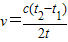
解答:解:汽车行驶的位移等于两次发射电磁波时汽车距离雷达的路程差,即s=
,则汽车的速度v=
.
故本题答案为:
.
点评:解决本题的关键知道汽车行驶的位移等于两次发射电磁波时汽车距离雷达的路程差,然后根据速度公式求出速度的表达式.
解答:解:汽车行驶的位移等于两次发射电磁波时汽车距离雷达的路程差,即s=
故本题答案为:
点评:解决本题的关键知道汽车行驶的位移等于两次发射电磁波时汽车距离雷达的路程差,然后根据速度公式求出速度的表达式.
练习册系列答案
相关题目