题目内容

如图所示的装置是在竖直平面内放置光滑的绝缘轨道,处于水平向右的匀强电场中,以带负电荷的小球从高h的A处静止开始下滑,沿轨道ABC运动后进入圆环内作圆周运动.已知小球所受到电场力是其重力的3/4,圆滑半径为R,斜面倾角为,sBC=2R.若使小球在圆环内能作完整的圆周运动,h至少为多少?

答案:
解析:

  小球所受的重力和电场力都为恒力,故可两力等效为一个力F,如图所示.可知F=1.25mg,方向与竖直方向左偏下37°,从下图中可知,能否作完整的圆周运动的临界点是能否通过D点,若恰好能通过D点,即达到D点时球与环的弹力恰好为零.

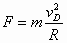
  由圆周运动知识得:

  即:

  由动能定理有:

  

  联立①、②可求出此时的高度h.


练习册系列答案
相关题目

违法和不良信息举报电话:027-86699610 举报邮箱:58377363@163.com

精英家教网