题目内容
某人造地球卫星沿圆轨道运行,轨道半径是r,周期是T,万有引力常量为G.试从这些数据计算地球的质量.
【答案】分析:人造地球卫星绕地球做匀速圆周运动,地球对卫星的万有引力提供卫星的向心力,根据牛顿第二定律计算地球的质量.
解答:解:设地球的质量为M,卫星的质量为m.
根据牛顿第二定律得 G
=m
则
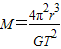
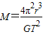
答:地球的质量为
.
点评:本题可总结为:知道环绕天体绕中心天体匀速圆周运动的轨道半径、周期,求出的不是环绕天体的质量,而是中心的质量.
解答:解:设地球的质量为M,卫星的质量为m.
根据牛顿第二定律得 G
则
答:地球的质量为
点评:本题可总结为:知道环绕天体绕中心天体匀速圆周运动的轨道半径、周期,求出的不是环绕天体的质量,而是中心的质量.
练习册系列答案
相关题目