题目内容

物体以一定的初速度冲上固定的光滑斜面,到达斜面最高点时速度恰为零.如图所示.已知物体运动到斜面长度3/4处的B点时,所用时间为t,求物体从B滑到C所用的时间.

答案:t
解析:

  分析:由于物体的末速度为零,因此可以根据匀变速直线运动的特殊规律和推论解决该题.

  解法一 逆向思维法

  物体向上匀减速冲上斜面,相当于向下匀加速滑下斜面.

  故xBC=at/2

  xAC=a(t+tBC)2/2

  又xBC=xAC/4

  解得:tBC=t

  解法二 比例法

  对于初速度为零的匀变速直线运动,在连续相等的时间里通过的位移之比为

  x1∶x2∶x3…∶xn=1∶3∶5…(2n-1)

  现有xBC∶XBA=XAC/4∶3xAC/4=1∶3

  通过xAB的时间为t,故通过xBC的时间tBC=t.

  解法三 中间时刻速度法

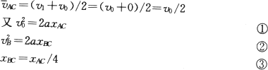
  利用教材中的推论:中间时刻的瞬时速度等于这段位移的平均速度.

  

  解①②③得:vBC=v0/2.

  可以看出vB正好等于AC段的平均速度,因此B点是中间时刻的位移.因此有tBC=t.

  解法四 图象法

  利用相似三角形面积之比,等于对应边平方比的方法,作出v-t图象,如图(a)所示.

  S△AOC/S△BDC=CO2/=CD2

  且S△AOC=4S△BDC,OD=t,OC=t+tBC

  所以4/1=(t+tBC)2/

    得tBC=t.

  


提示:

该题给同学们提供的方法,并不是要求都掌握,只是开阔一下解题思路.自己在处理问题时,可以选择自己认为合适的方法即可.


练习册系列答案
相关题目

违法和不良信息举报电话:027-86699610 举报邮箱:58377363@163.com

精英家教网