ÌâÄ¿ÄÚÈÝ
ÈçͼËùʾ£¬ÔÚ×ã¹»³¤µÄ¹â»¬Ë®Æ½ÃæÉÏ£¬·ÅÖÃÒ»³¤ÎªL=1m¡¢ÖÊÁ¿Îªm1=0.5kgµÄľ°åA£¬Ò»ÖÊÁ¿Îªm2=1kgµÄСÎïÌåBÒÔ³õËٶȦÔ=4m/s»¬ÉÏAµÄÉϱíÃæ£¬AÓëBÖ®¼äµÄ¶¯Ä¦²ÁÒòÊýΪ¦Ì=0.2£¬g=10m/s2£»£¨1£©µ±B¸Õ´ÓAÉÏ»¬Âäʱ£¬A¡¢BµÄËÙ¶È·Ö±ðÊǶà´ó£¿
£¨2£©ÎªÊ¹B²»´Óľ°åAµÄÓÒ¶Ë»¬Â䣬µ±B»¬ÉÏAʱ£¬ÔÚAµÄÓÒ¶ËʼÖÕÊ©¼ÓÒ»¸öˮƽÏòÓҵĺãÁ¦F£¬ÇóFµÄ´óСӦÂú×ãµÄÌõ¼þ£®
¡¾´ð°¸¡¿·ÖÎö£º£¨1£©Îï¿éB×öÔȼõËÙÖ±ÏßÔ˶¯£¬Ä¾°å×öÔȼÓËÙÖ±ÏßÔ˶¯£¬¸ù¾ÝÅ£¶ÙµÚ¶þ¶¨ÂÉÇó³öA¡¢BµÄ¼ÓËÙ¶È´óС£¬¸ù¾ÝÁ½ÕßµÄÎ»ÒÆÖ®²îµÈÓÚľ°åµÄ³¤¶ÈÇó³öÔ˶¯µÄʱ¼ä£¬´Ó¶ø¸ù¾ÝÔ˶¯Ñ§¹«Ê½Çó³öA¡¢BµÄËÙ¶È´óС£®
£¨2£©ÎªÊ¹B²»´Óľ°åAµÄÓÒ¶Ë»¬Â䣬ÁÙ½çÇé¿öÊÇB»¬µ½AµÄÓÒ¶Ëʱ£¬Á½Õß¾ßÓÐÏàͬµÄËÙ¶È£¬¸ù¾ÝÔ˶¯Ñ§¹«Ê½×¥×¡Î»ÒÆÖ®²îµÈÓÚľ°å³¤¶È£¬ÇÒÁ½ÕßµÄËÙ¶ÈÏàµÈ£¬Çó³öAµÄ¼ÓËÙ¶È£¬´Ó¶ø¸ù¾ÝÅ£¶ÙµÚ¶þ¶¨ÂÉÇó³öÀÁ¦µÄ×îСֵ£®
½â´ð£º½â£º£¨1£©¼ÙÉèB¸Õ´ÓAÉÏ»¬Âäʱ£¬A¡¢BµÄËÙ¶È·Ö±ðΪv1¡¢v2£¬
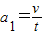
AµÄ¼ÓËÙ¶È
BµÄ¼ÓËÙ
ÓÉÎ»ÒÆ¹ØÏµÓÐ
´úÈëÊýÖµ½âµÃ£ºt=1s»ò
£®
µ±t=1sʱv1=a1t=4m/s v2=v-a2t=2m/s
v1£¾v2²»ºÏÌâÒâÉáÈ¥
¡à
´ð£ºµ±B¸Õ´ÓAÉÏ»¬Âäʱ£¬A¡¢BµÄËÙ¶È·Ö±ðÊÇ
¡¢
£®
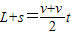
£¨2£©µ±B¾¹ýʱ¼ätÔ˶¯ÖÁAµÄ×îÓÒ¶Ëʱ£¬ÈôA¡¢B¾ßÓй²Í¬ËÙ¶Èv£¬Ôò´ËʱËùÊ©¼ÓµÄºãÁ¦FÓÐ×îСֵ£®´Ë¹ý³ÌÖÐA×öÔȼÓËÙÔ˶¯µÄÎ»ÒÆs=
¢Ù
B×öÔȼõËÙÔ˶¯µÄÎ»ÒÆ
¢Ú
A¡¢BµÄ¼ÓËÙ¶È·Ö±ðΪ
¢Û
¢Ü
ÓÖv=v-a2t¢Ý
ÁªÁ¢¢Ù¡«¢Ý£¬´úÈëÊý¾Ý½âµÃv=3m/s t=0.5s
ÒÔAΪÑо¿¶ÔÏ󣬸ù¾ÝÅ£¶ÙµÚ¶þ¶¨ÂÉÓÐFmin+¦Ìm2g=m1a1
½âµÃFmin=1N ¹ÊF¡Ý1N
´ð£ºFµÄ´óСӦÂú×ãµÄÌõ¼þF¡Ý1N£®
µãÆÀ£º±¾Ìâ¹ý³Ì½Ï¸´ÔÓ£¬¹Ø¼üÀíÇåA¡¢BµÄÔ˶¯Çé¿ö£¬×ÛºÏÔËÓÃÅ£¶ÙµÚ¶þ¶¨ÂɺÍÔ˶¯Ñ§¹«Ê½ÁªºÏÇó½â£®
£¨2£©ÎªÊ¹B²»´Óľ°åAµÄÓÒ¶Ë»¬Â䣬ÁÙ½çÇé¿öÊÇB»¬µ½AµÄÓÒ¶Ëʱ£¬Á½Õß¾ßÓÐÏàͬµÄËÙ¶È£¬¸ù¾ÝÔ˶¯Ñ§¹«Ê½×¥×¡Î»ÒÆÖ®²îµÈÓÚľ°å³¤¶È£¬ÇÒÁ½ÕßµÄËÙ¶ÈÏàµÈ£¬Çó³öAµÄ¼ÓËÙ¶È£¬´Ó¶ø¸ù¾ÝÅ£¶ÙµÚ¶þ¶¨ÂÉÇó³öÀÁ¦µÄ×îСֵ£®
½â´ð£º½â£º£¨1£©¼ÙÉèB¸Õ´ÓAÉÏ»¬Âäʱ£¬A¡¢BµÄËÙ¶È·Ö±ðΪv1¡¢v2£¬
AµÄ¼ÓËÙ¶È
BµÄ¼ÓËÙ
ÓÉÎ»ÒÆ¹ØÏµÓÐ
µ±t=1sʱv1=a1t=4m/s v2=v-a2t=2m/s
v1£¾v2²»ºÏÌâÒâÉáÈ¥
¡à
´ð£ºµ±B¸Õ´ÓAÉÏ»¬Âäʱ£¬A¡¢BµÄËÙ¶È·Ö±ðÊÇ
£¨2£©µ±B¾¹ýʱ¼ätÔ˶¯ÖÁAµÄ×îÓÒ¶Ëʱ£¬ÈôA¡¢B¾ßÓй²Í¬ËÙ¶Èv£¬Ôò´ËʱËùÊ©¼ÓµÄºãÁ¦FÓÐ×îСֵ£®´Ë¹ý³ÌÖÐA×öÔȼÓËÙÔ˶¯µÄÎ»ÒÆs=
B×öÔȼõËÙÔ˶¯µÄÎ»ÒÆ
A¡¢BµÄ¼ÓËÙ¶È·Ö±ðΪ
ÓÖv=v-a2t¢Ý
ÁªÁ¢¢Ù¡«¢Ý£¬´úÈëÊý¾Ý½âµÃv=3m/s t=0.5s
ÒÔAΪÑо¿¶ÔÏ󣬸ù¾ÝÅ£¶ÙµÚ¶þ¶¨ÂÉÓÐFmin+¦Ìm2g=m1a1
½âµÃFmin=1N ¹ÊF¡Ý1N
´ð£ºFµÄ´óСӦÂú×ãµÄÌõ¼þF¡Ý1N£®
µãÆÀ£º±¾Ìâ¹ý³Ì½Ï¸´ÔÓ£¬¹Ø¼üÀíÇåA¡¢BµÄÔ˶¯Çé¿ö£¬×ÛºÏÔËÓÃÅ£¶ÙµÚ¶þ¶¨ÂɺÍÔ˶¯Ñ§¹«Ê½ÁªºÏÇó½â£®
Á·Ï°²áϵÁдð°¸
Ïà¹ØÌâÄ¿